🇳🇴 🇬🇧 🇩🇪 🇨🇿 🇫🇮

Meteor, poloha: Hamnvik 2022-11-06 18:29:43 UTC

Soubor KML  |  InteraktivnĂ­ mapa

Mapa zobrazuje dráhy meteoru. Světlejší čáry ukazují směry od pozorovacích stanic při objevení se meteoru a tmavší čáry, kde byl naposledy viděn. Modrá šipka značí viditelnou dráhu meteoru.

static map
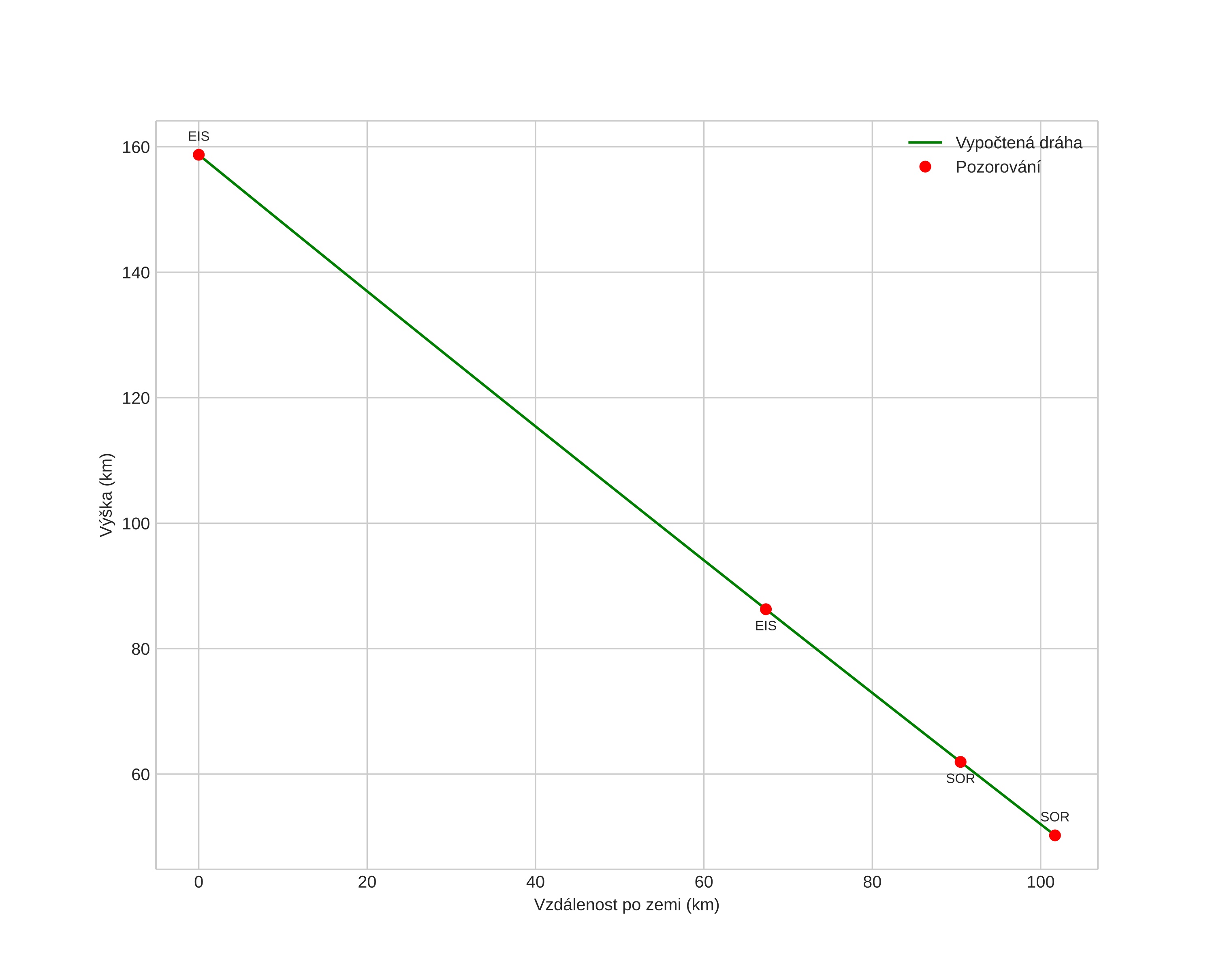
height profile
Atmosférická dráha meteoru:
Počáteční výška: 92,0 km
Konečná výška: 75,7 km
Počáteční poloha: 68,946N 16,977E
Konečná poloha: 68,938N 17,078E
Směr: 101,2°
Sklon: 75,8°
VstupnĂ­ rychlost: 21,5 km/s
Rektascenze radiantu: 19:54 (298,7°)
Deklinace radiantu: 66,3°
MeteorickĂ˝ roj: sporadickĂ˝
Elementy dráhy meteoroidu:
Vzdálenost v periheliu: 0,978 AU
Excentricita: 0,531
Sklon dráhy: 29,6°
Délka vzestupného uzlu: 224,0°
Argument perihelia: 195,8°
Střední anomálie: 355,8°
Epocha: 2022 NOV 06 18:29:43
orbit plot

NeinteraktivnĂ­ graf | InteraktivnĂ­ graf

position vs time
speed and acceleration