🇳🇴 🇬🇧 🇩🇪 🇨🇿 🇫🇮

Meteor Hamnvikin yllä 2022-11-06 18:29:43 UTC

KML-tiedosto  |  Interaktiivinen kartta

Kartta näyttää meteorin suuntahavainnot. Vaaleammat viivat näyttävät suunnat havaintoasemilta meteorin ilmestyessä, ja tummemmat viivat näyttävät, missä se viimeksi nähtiin. Sininen nuoli näyttää meteorin näkyvän lennon.

static map
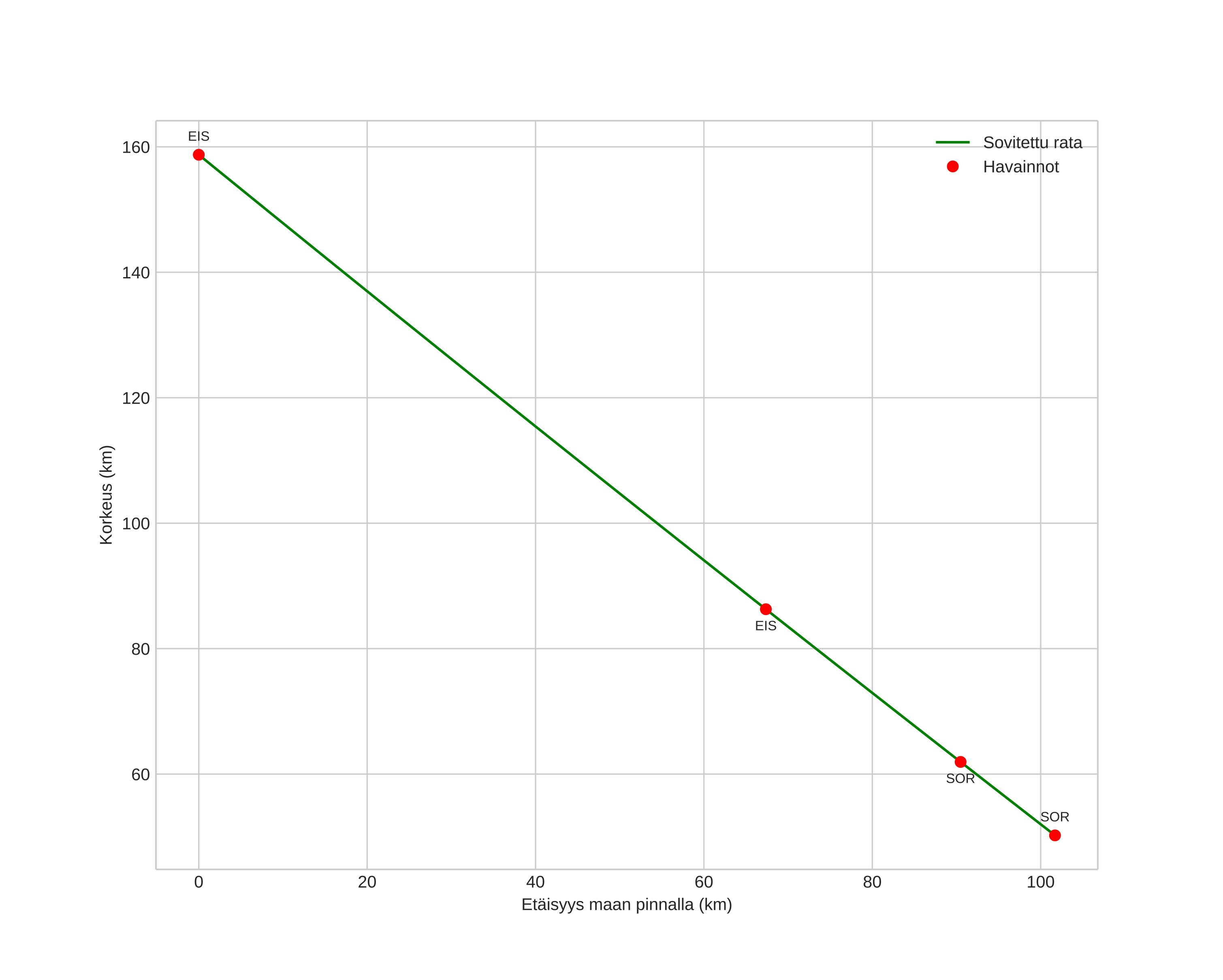
height profile
Meteorin ilmakehärata:
Alkukorkeus: 92,0 km
Loppukorkeus: 75,7 km
Alkupiste: 68,946N 16,977E
Loppupiste: 68,938N 17,078E
Suunta: 101,2°
Kallistuskulma: 75,8°
Tulonopeus: 21,5 km/s
Radiantin R,A,: 19:54 (298,7°)
Radiantin Dekl,: 66,3°
Meteoriparvi: Sporadinen
Meteoroidin rataelementit:
Perihelietäisyys: 0,978 AU
Eksentrisyys: 0,531
Inklinaatio: 29,6°
Nousevan solmun pituus: 224,0°
Perihelin argumentti: 195,8°
Keskianomalia: 355,8°
Epookki: 2022 NOV 06 18:29:43
orbit plot

Ei-interaktiivinen kuvaaja | Interaktiivinen kuvaaja

position vs time
speed and acceleration