🇳🇴 🇬🇧 🇩🇪 🇨🇿 🇫🇮

Meteor, poloha: Hatteng 2022-11-06 21:02:55 UTC

Soubor KML  |  InteraktivnĂ­ mapa

Mapa zobrazuje dráhy meteoru. Světlejší čáry ukazují směry od pozorovacích stanic při objevení se meteoru a tmavší čáry, kde byl naposledy viděn. Modrá šipka značí viditelnou dráhu meteoru.

static map
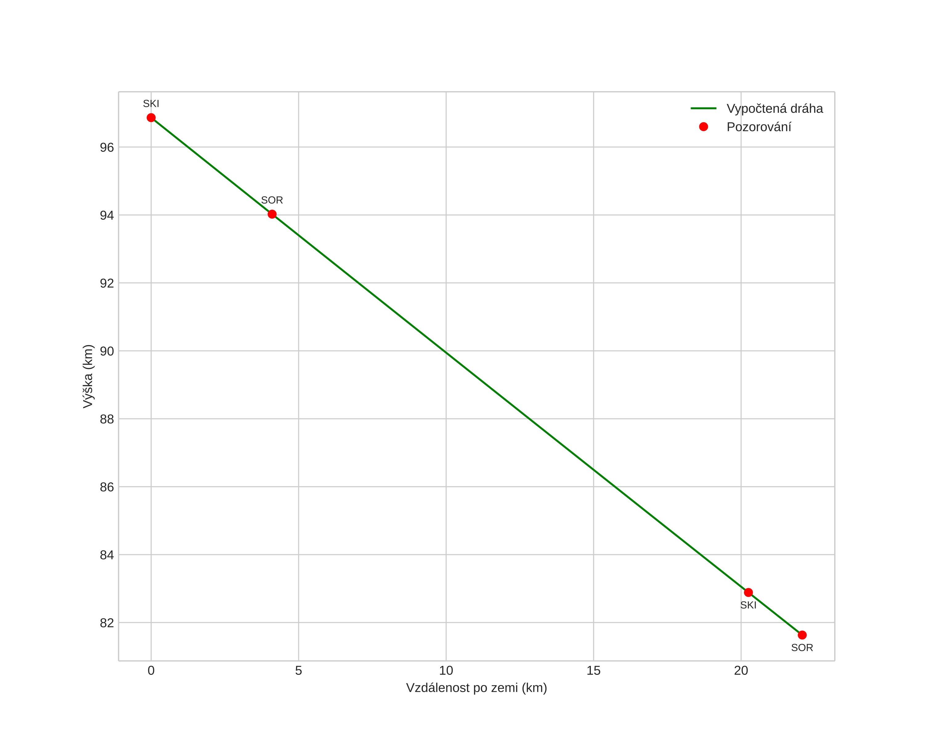
height profile
Atmosférická dráha meteoru:
Počáteční výška: 96,9 km
Konečná výška: 81,6 km
Počáteční poloha: 69,155N 20,247E
Konečná poloha: 69,309N 19,892E
Směr: 320,9°
Sklon: 34,7°
VstupnĂ­ rychlost: 30,0 km/s
Rektascenze radiantu: 03:39 (54,9°)
Deklinace radiantu: 15,6°
MeteorickĂ˝ roj: JiĹľnĂ­ Tauridy
Elementy dráhy meteoroidu:
Vzdálenost v periheliu: 0,359 AU
Excentricita: 0,820
Sklon dráhy: 4,4°
Délka vzestupného uzlu: 44,1°
Argument perihelia: 114,5°
Střední anomálie: 345,0°
Epocha: 2022 NOV 06 21:02:55
orbit plot

NeinteraktivnĂ­ graf | InteraktivnĂ­ graf

position vs time
speed and acceleration