🇳🇴 🇬🇧 🇩🇪 🇨🇿 🇫🇮

Meteor Hattengin yllä 2022-11-06 21:02:55 UTC

KML-tiedosto  |  Interaktiivinen kartta

Kartta näyttää meteorin suuntahavainnot. Vaaleammat viivat näyttävät suunnat havaintoasemilta meteorin ilmestyessä, ja tummemmat viivat näyttävät, missä se viimeksi nähtiin. Sininen nuoli näyttää meteorin näkyvän lennon.

static map
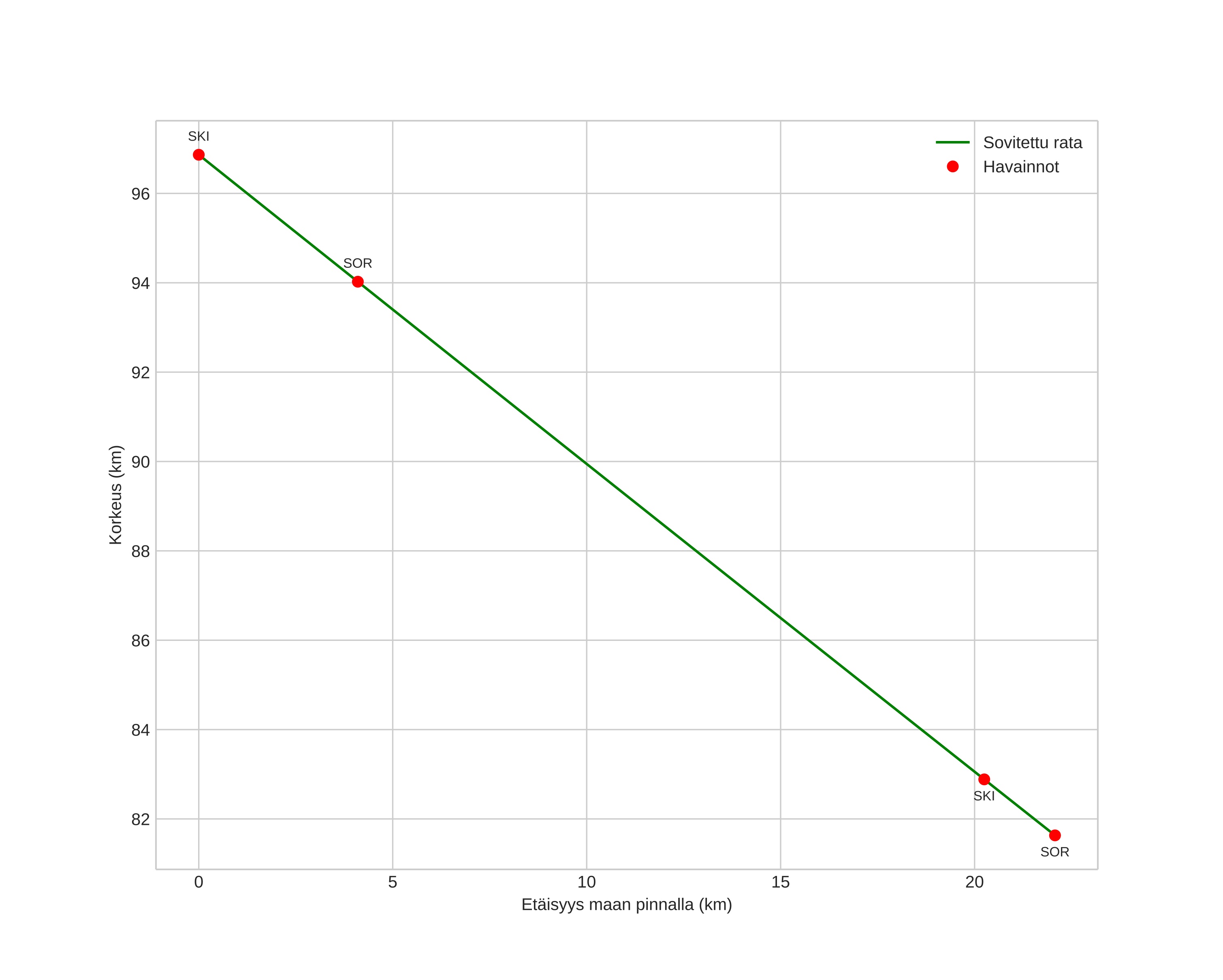
height profile
Meteorin ilmakehärata:
Alkukorkeus: 96,9 km
Loppukorkeus: 81,6 km
Alkupiste: 69,155N 20,247E
Loppupiste: 69,309N 19,892E
Suunta: 320,9°
Kallistuskulma: 34,7°
Tulonopeus: 30,0 km/s
Radiantin R,A,: 03:39 (54,9°)
Radiantin Dekl,: 15,6°
Meteoriparvi: Eteläiset tauridit
Meteoroidin rataelementit:
Perihelietäisyys: 0,359 AU
Eksentrisyys: 0,820
Inklinaatio: 4,4°
Nousevan solmun pituus: 44,1°
Perihelin argumentti: 114,5°
Keskianomalia: 345,0°
Epookki: 2022 NOV 06 21:02:55
orbit plot

Ei-interaktiivinen kuvaaja | Interaktiivinen kuvaaja

position vs time
speed and acceleration