🇳🇴 🇬🇧 🇩🇪 🇨🇿 🇫🇮

Meteor, poloha: Tromsø 2022-11-06 21:15:25 UTC

Soubor KML  |  InteraktivnĂ­ mapa

Mapa zobrazuje dráhy meteoru. Světlejší čáry ukazují směry od pozorovacích stanic při objevení se meteoru a tmavší čáry, kde byl naposledy viděn. Modrá šipka značí viditelnou dráhu meteoru.

static map
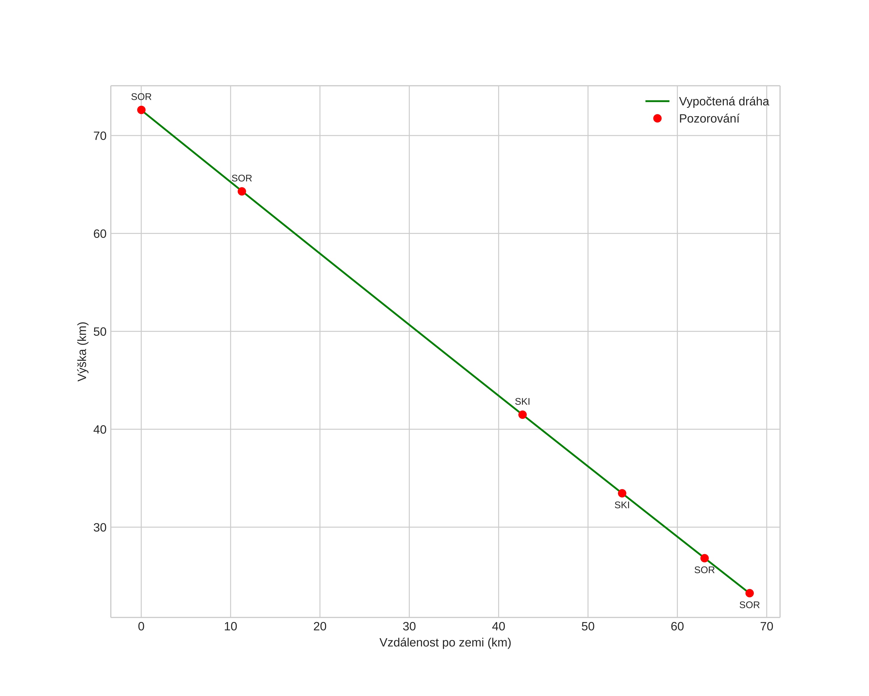
height profile
Atmosférická dráha meteoru:
Počáteční výška: 72,7 km
Konečná výška: 23,2 km
Počáteční poloha: 69,802N 21,096E
Konečná poloha: 69,666N 19,357E
Směr: 258,1°
Sklon: 35,8°
VstupnĂ­ rychlost: 65,6 km/s
Rektascenze radiantu: 07:29 (112,4°)
Deklinace radiantu: 37,1°
MeteorickĂ˝ roj: sporadickĂ˝
Elementy dráhy meteoroidu:
Vzdálenost v periheliu: 0,545 AU
Excentricita: 0,957
Sklon dráhy: 147,3°
Délka vzestupného uzlu: 224,1°
Argument perihelia: 265,5°
Střední anomálie: 359,1°
Epocha: 2022 NOV 06 21:15:25
orbit plot

NeinteraktivnĂ­ graf | InteraktivnĂ­ graf

position vs time
speed and acceleration