🇳🇴 🇬🇧 🇩🇪 🇨🇿 🇫🇮

Meteor Tromsøin yllä 2022-11-06 21:15:25 UTC

KML-tiedosto  |  Interaktiivinen kartta

Kartta näyttää meteorin suuntahavainnot. Vaaleammat viivat näyttävät suunnat havaintoasemilta meteorin ilmestyessä, ja tummemmat viivat näyttävät, missä se viimeksi nähtiin. Sininen nuoli näyttää meteorin näkyvän lennon.

static map
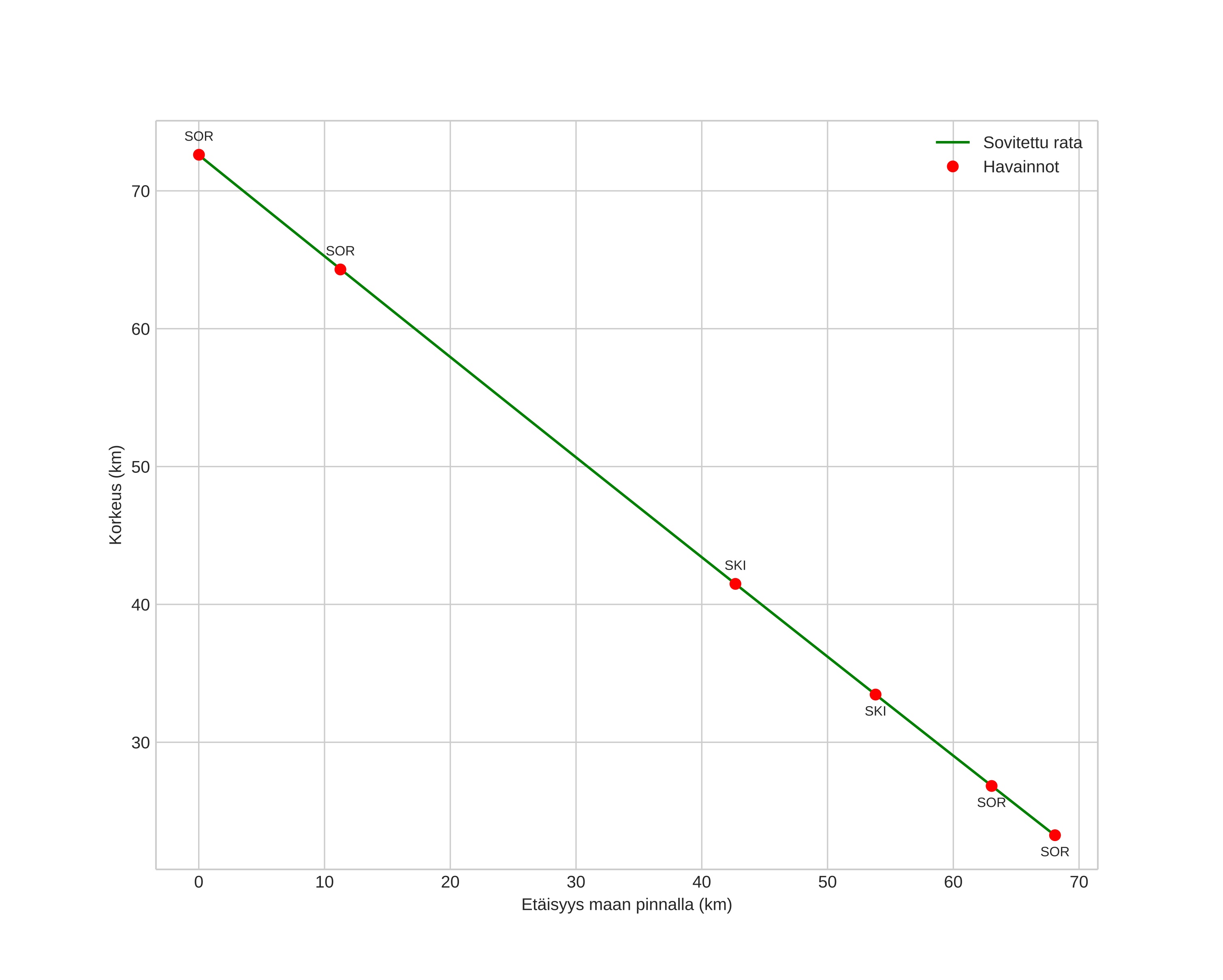
height profile
Meteorin ilmakehärata:
Alkukorkeus: 72,7 km
Loppukorkeus: 23,2 km
Alkupiste: 69,802N 21,096E
Loppupiste: 69,666N 19,357E
Suunta: 258,1°
Kallistuskulma: 35,8°
Tulonopeus: 65,6 km/s
Radiantin R,A,: 07:29 (112,4°)
Radiantin Dekl,: 37,1°
Meteoriparvi: Sporadinen
Meteoroidin rataelementit:
Perihelietäisyys: 0,545 AU
Eksentrisyys: 0,957
Inklinaatio: 147,3°
Nousevan solmun pituus: 224,1°
Perihelin argumentti: 265,5°
Keskianomalia: 359,1°
Epookki: 2022 NOV 06 21:15:25
orbit plot

Ei-interaktiivinen kuvaaja | Interaktiivinen kuvaaja

position vs time
speed and acceleration