🇳🇴 🇬🇧 🇩🇪 🇨🇿 🇫🇮

Meteor, poloha: Hatteng 2022-11-06 21:26:37 UTC

Soubor KML  |  InteraktivnĂ­ mapa

Mapa zobrazuje dráhy meteoru. Světlejší čáry ukazují směry od pozorovacích stanic při objevení se meteoru a tmavší čáry, kde byl naposledy viděn. Modrá šipka značí viditelnou dráhu meteoru.

static map
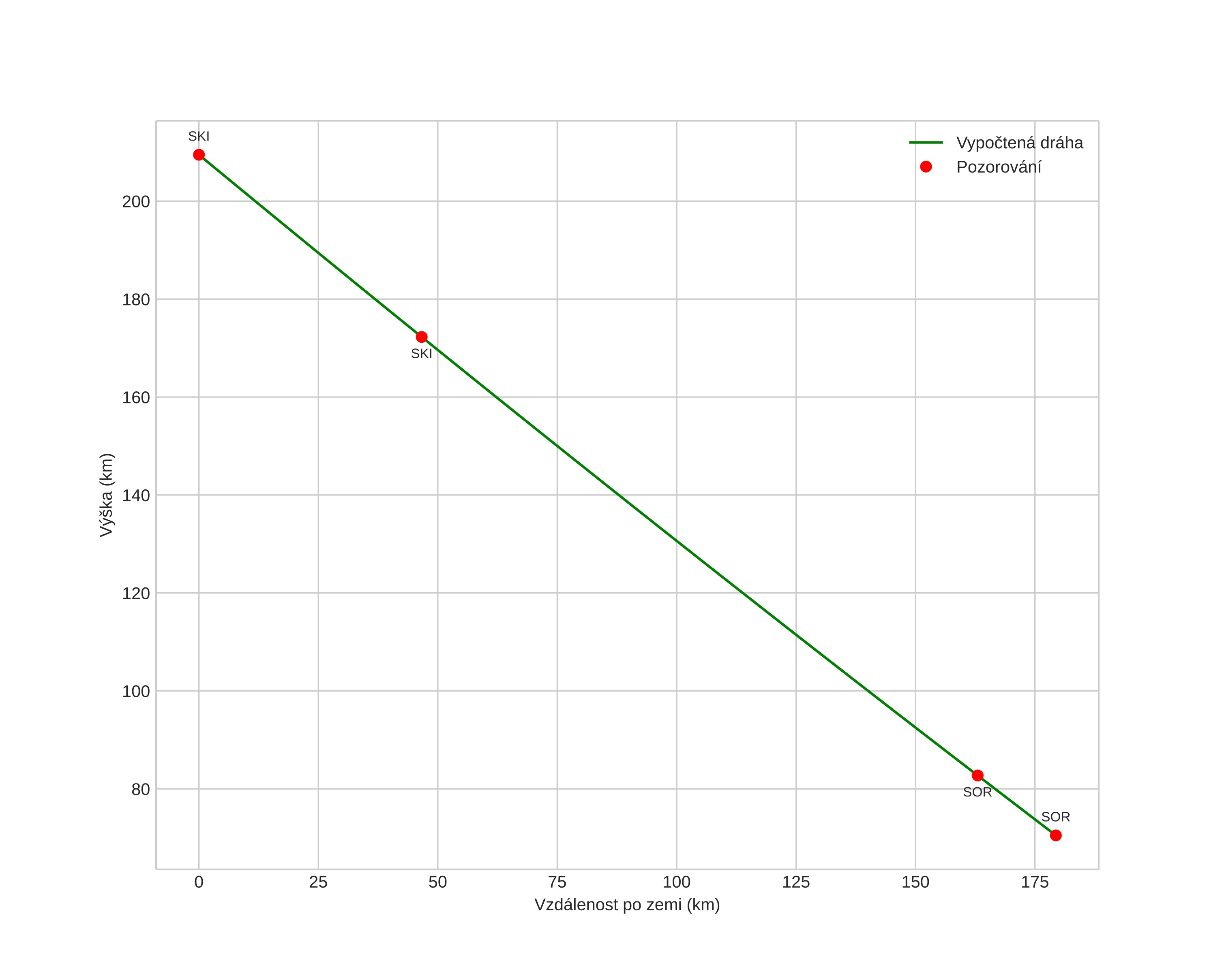
height profile
Atmosférická dráha meteoru:
Počáteční výška: 209,5 km
Konečná výška: 70,5 km
Počáteční poloha: 68,889N 24,451E
Konečná poloha: 68,784N 19,991E
Směr: 268,3°
Sklon: 37,8°
orbit plot
position vs time
speed and acceleration