🇳🇴 🇬🇧 🇩🇪 🇨🇿 🇫🇮

Meteor Hattengin yllä 2022-11-06 21:26:37 UTC

KML-tiedosto  |  Interaktiivinen kartta

Kartta näyttää meteorin suuntahavainnot. Vaaleammat viivat näyttävät suunnat havaintoasemilta meteorin ilmestyessä, ja tummemmat viivat näyttävät, missä se viimeksi nähtiin. Sininen nuoli näyttää meteorin näkyvän lennon.

static map
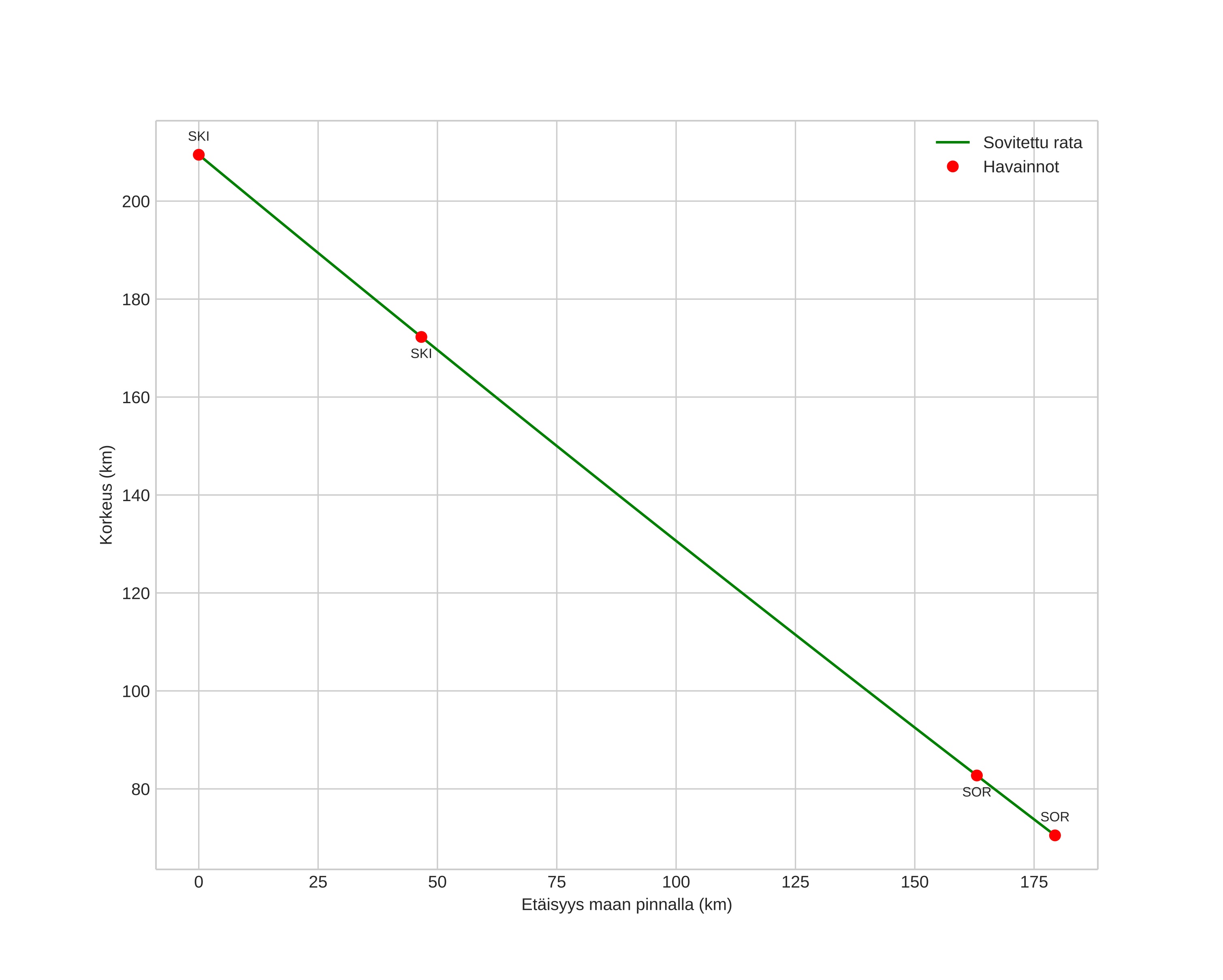
height profile
Meteorin ilmakehärata:
Alkukorkeus: 209,5 km
Loppukorkeus: 70,5 km
Alkupiste: 68,889N 24,451E
Loppupiste: 68,784N 19,991E
Suunta: 268,3°
Kallistuskulma: 37,8°
orbit plot
position vs time
speed and acceleration