🇳🇴 🇬🇧 🇩🇪 🇨🇿 🇫🇮

Meteor, poloha: Hatteng 2022-11-06 21:26:38 UTC

Soubor KML  |  InteraktivnĂ­ mapa

Mapa zobrazuje dráhy meteoru. Světlejší čáry ukazují směry od pozorovacích stanic při objevení se meteoru a tmavší čáry, kde byl naposledy viděn. Modrá šipka značí viditelnou dráhu meteoru.

static map
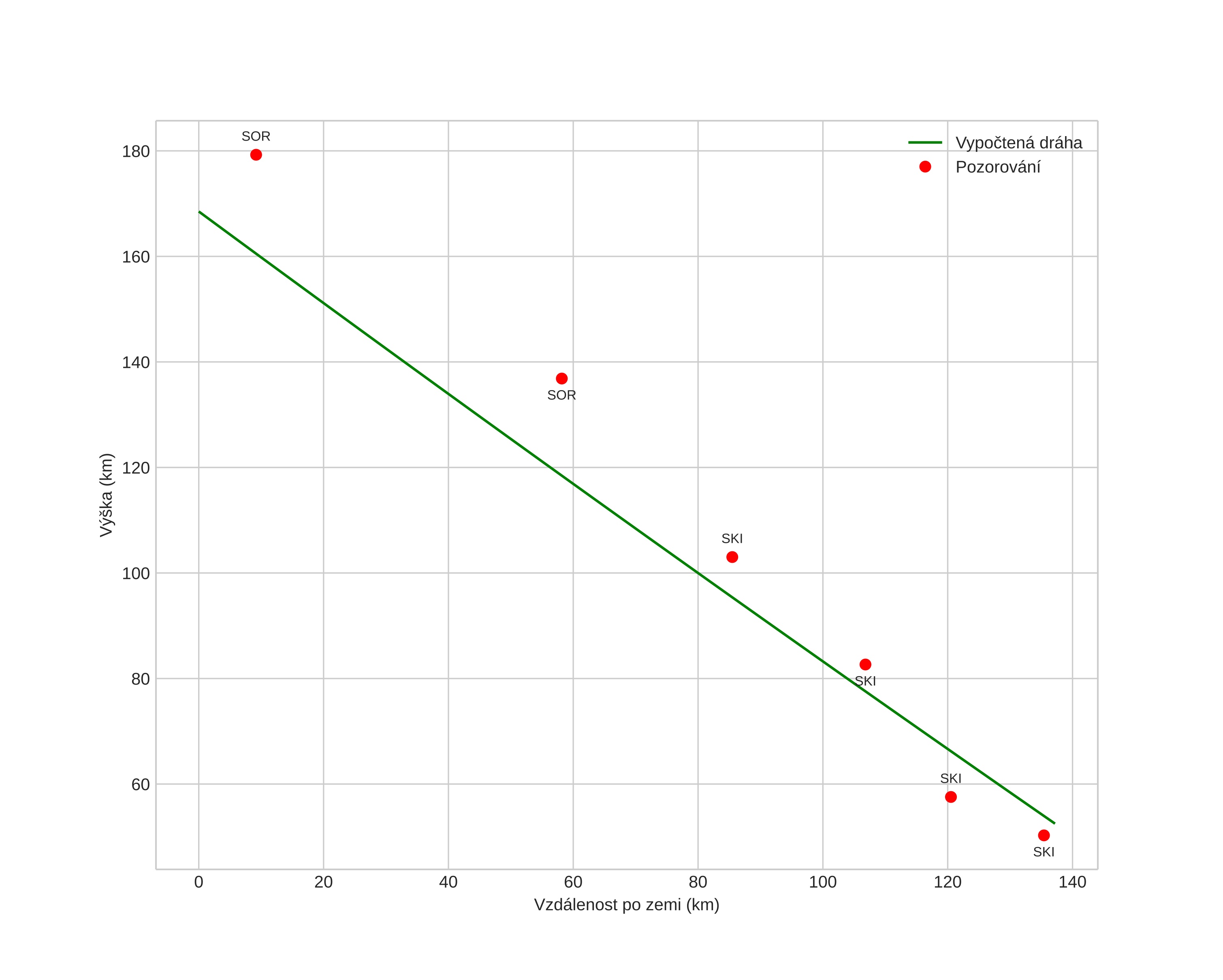
height profile
Atmosférická dráha meteoru:
Počáteční výška: 168,4 km
Konečná výška: 52,6 km
Počáteční poloha: 68,202N 22,837E
Konečná poloha: 69,031N 20,329E
Směr: 313,4°
Sklon: 40,2°
VstupnĂ­ rychlost: 73,0 km/s
Rektascenze radiantu: 04:29 (67,5°)
Deklinace radiantu: 23,5°
MeteorickĂ˝ roj: sporadickĂ˝
Elementy dráhy meteoroidu:
Vzdálenost v periheliu: 0,003 AU
Excentricita: 1,007
Sklon dráhy: 110,0°
Délka vzestupného uzlu: 224,1°
Argument perihelia: 350,9°
Střední anomálie: -95,5°
Epocha: 2022 NOV 06 21:26:38
orbit plot

NeinteraktivnĂ­ graf | InteraktivnĂ­ graf

position vs time
speed and acceleration