🇳🇴 🇬🇧 🇩🇪 🇨🇿 🇫🇮

Meteor Hattengin yllä 2022-11-06 21:26:38 UTC

KML-tiedosto  |  Interaktiivinen kartta

Kartta näyttää meteorin suuntahavainnot. Vaaleammat viivat näyttävät suunnat havaintoasemilta meteorin ilmestyessä, ja tummemmat viivat näyttävät, missä se viimeksi nähtiin. Sininen nuoli näyttää meteorin näkyvän lennon.

static map
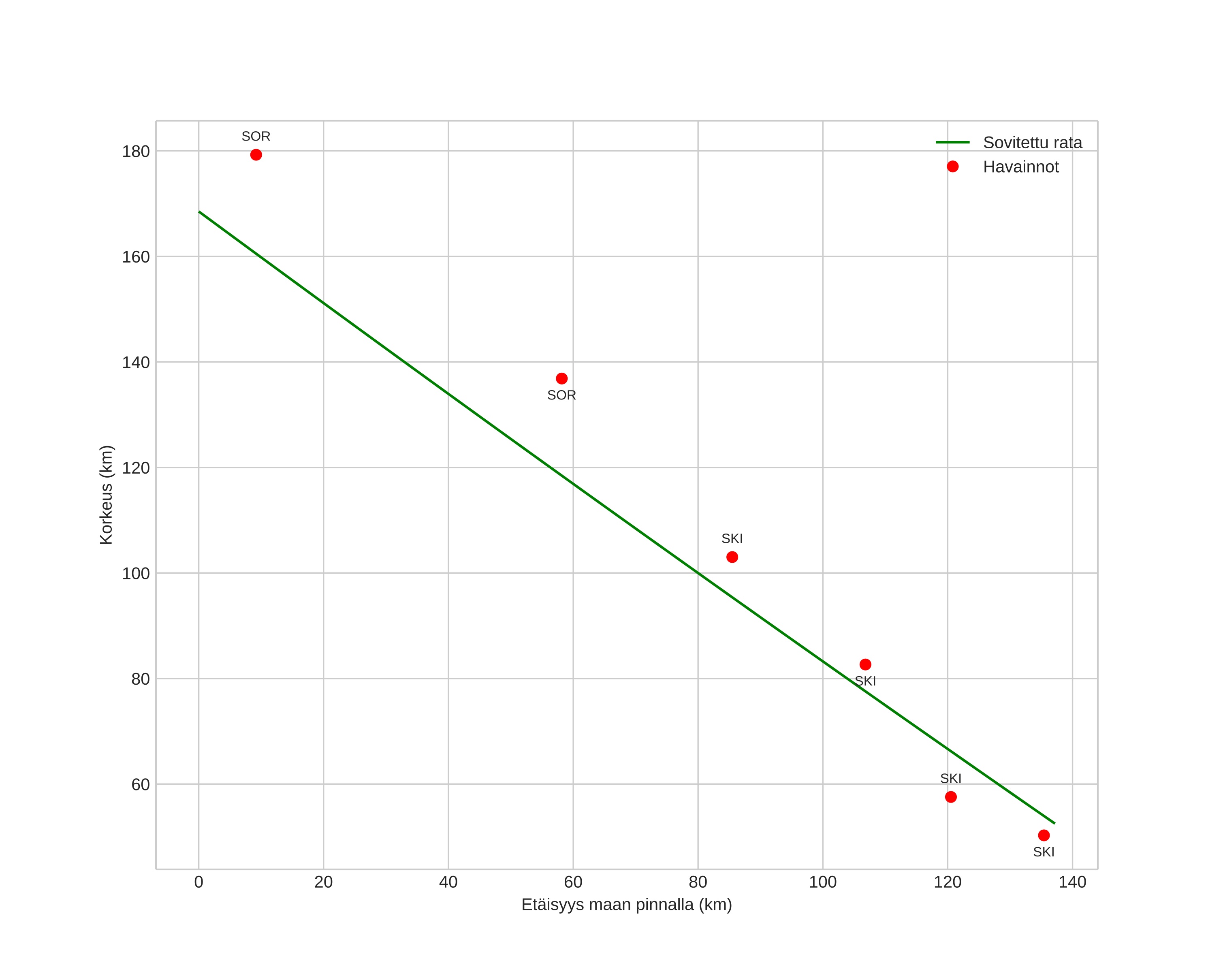
height profile
Meteorin ilmakehärata:
Alkukorkeus: 168,4 km
Loppukorkeus: 52,6 km
Alkupiste: 68,202N 22,837E
Loppupiste: 69,031N 20,329E
Suunta: 313,4°
Kallistuskulma: 40,2°
Tulonopeus: 73,0 km/s
Radiantin R,A,: 04:29 (67,5°)
Radiantin Dekl,: 23,5°
Meteoriparvi: Sporadinen
Meteoroidin rataelementit:
Perihelietäisyys: 0,003 AU
Eksentrisyys: 1,007
Inklinaatio: 110,0°
Nousevan solmun pituus: 224,1°
Perihelin argumentti: 350,9°
Keskianomalia: -95,5°
Epookki: 2022 NOV 06 21:26:38
orbit plot

Ei-interaktiivinen kuvaaja | Interaktiivinen kuvaaja

position vs time
speed and acceleration