🇳🇴 🇬🇧 🇩🇪 🇨🇿 🇫🇮

Meteor, poloha: Finnsnes 2022-11-06 22:54:32 UTC

Soubor KML  |  InteraktivnĂ­ mapa

Mapa zobrazuje dráhy meteoru. Světlejší čáry ukazují směry od pozorovacích stanic při objevení se meteoru a tmavší čáry, kde byl naposledy viděn. Modrá šipka značí viditelnou dráhu meteoru.

static map
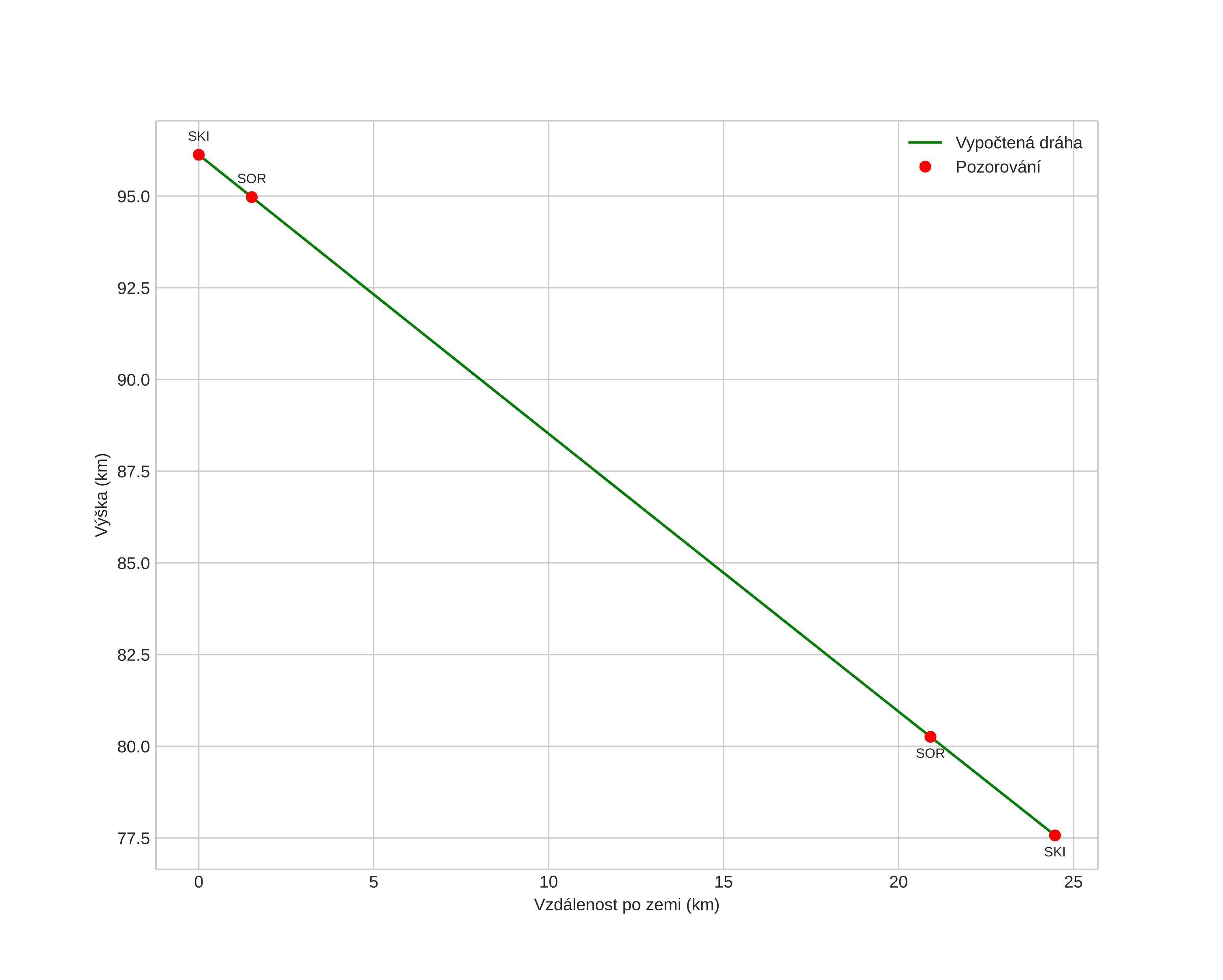
height profile
Atmosférická dráha meteoru:
Počáteční výška: 96,7 km
Konečná výška: 78,0 km
Počáteční poloha: 69,466N 17,714E
Konečná poloha: 69,683N 17,595E
Směr: 349,3°
Sklon: 37,2°
VstupnĂ­ rychlost: 32,9 km/s
Rektascenze radiantu: 03:43 (55,8°)
Deklinace radiantu: 15,2°
MeteorickĂ˝ roj: SevernĂ­ Tauridy
Elementy dráhy meteoroidu:
Vzdálenost v periheliu: 0,319 AU
Excentricita: 0,885
Sklon dráhy: 5,9°
Délka vzestupného uzlu: 44,2°
Argument perihelia: 116,4°
Střední anomálie: 351,5°
Epocha: 2022 NOV 06 22:54:32
orbit plot

NeinteraktivnĂ­ graf | InteraktivnĂ­ graf

position vs time
speed and acceleration