🇳🇴 🇬🇧 🇩🇪 🇨🇿 🇫🇮

Meteor Finnsnesin yllä 2022-11-06 22:54:32 UTC

KML-tiedosto  |  Interaktiivinen kartta

Kartta näyttää meteorin suuntahavainnot. Vaaleammat viivat näyttävät suunnat havaintoasemilta meteorin ilmestyessä, ja tummemmat viivat näyttävät, missä se viimeksi nähtiin. Sininen nuoli näyttää meteorin näkyvän lennon.

static map
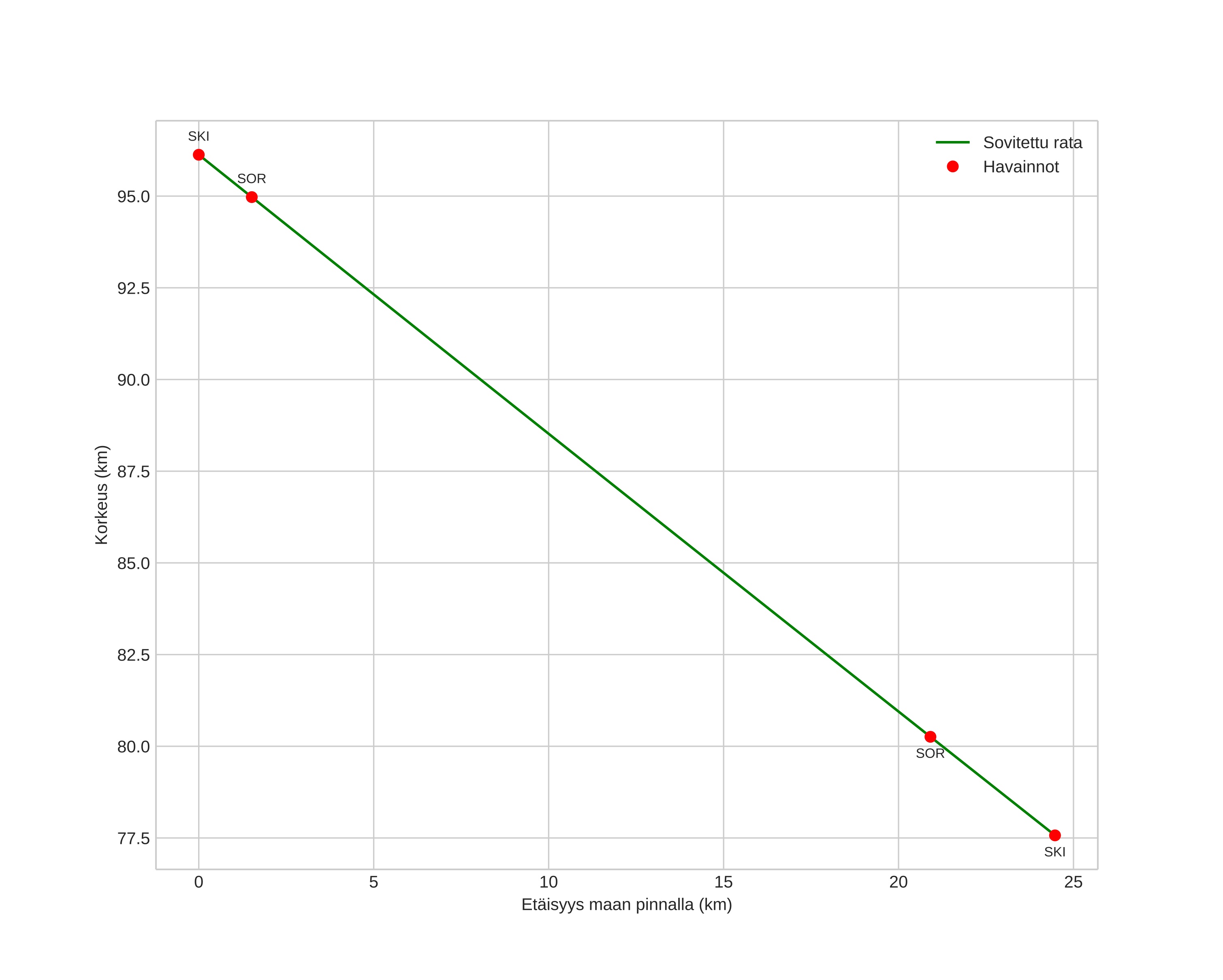
height profile
Meteorin ilmakehärata:
Alkukorkeus: 96,7 km
Loppukorkeus: 78,0 km
Alkupiste: 69,466N 17,714E
Loppupiste: 69,683N 17,595E
Suunta: 349,3°
Kallistuskulma: 37,2°
Tulonopeus: 32,9 km/s
Radiantin R,A,: 03:43 (55,8°)
Radiantin Dekl,: 15,2°
Meteoriparvi: Pohjoiset tauridit
Meteoroidin rataelementit:
Perihelietäisyys: 0,319 AU
Eksentrisyys: 0,885
Inklinaatio: 5,9°
Nousevan solmun pituus: 44,2°
Perihelin argumentti: 116,4°
Keskianomalia: 351,5°
Epookki: 2022 NOV 06 22:54:32
orbit plot

Ei-interaktiivinen kuvaaja | Interaktiivinen kuvaaja

position vs time
speed and acceleration