🇳🇴 🇬🇧 🇩🇪 🇨🇿 🇫🇮

Meteor, poloha: Rødberg 2022-11-07 18:36:44 UTC

Soubor KML  |  InteraktivnĂ­ mapa

Mapa zobrazuje dráhy meteoru. Světlejší čáry ukazují směry od pozorovacích stanic při objevení se meteoru a tmavší čáry, kde byl naposledy viděn. Modrá šipka značí viditelnou dráhu meteoru.

static map
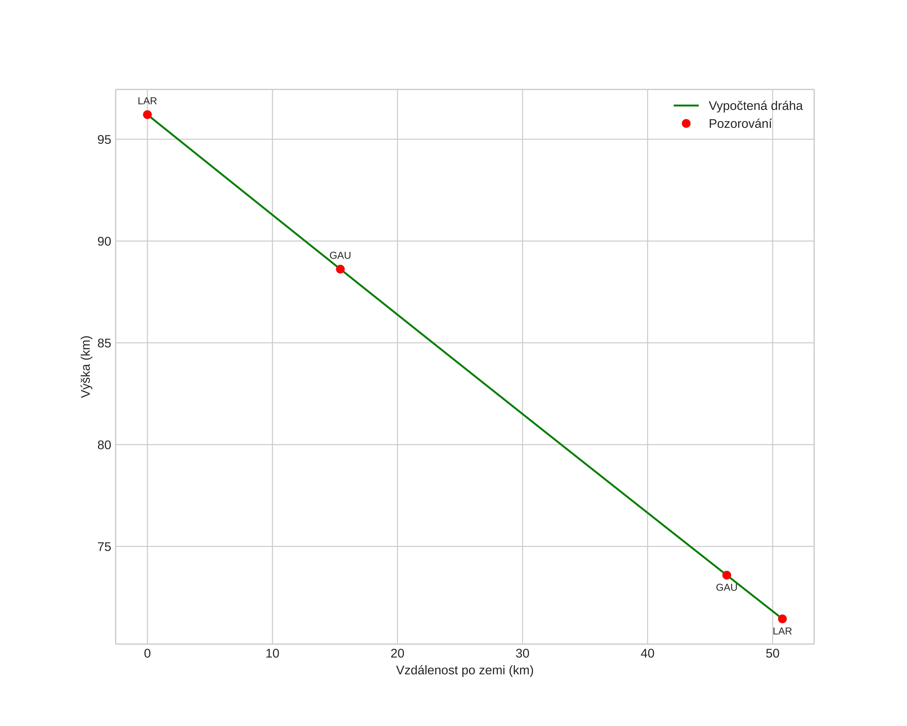
height profile
Atmosférická dráha meteoru:
Počáteční výška: 96,2 km
Konečná výška: 71,4 km
Počáteční poloha: 60,264N 9,897E
Konečná poloha: 60,235N 8,978E
Směr: 266,8°
Sklon: 26,0°
VstupnĂ­ rychlost: 31,7 km/s
Rektascenze radiantu: 03:43 (55,9°)
Deklinace radiantu: 22,0°
MeteorickĂ˝ roj: SevernĂ­ Tauridy
Elementy dráhy meteoroidu:
Vzdálenost v periheliu: 0,319 AU
Excentricita: 0,852
Sklon dráhy: 2,9°
Délka vzestupného uzlu: 225,0°
Argument perihelia: 298,3°
Střední anomálie: 347,2°
Epocha: 2022 NOV 07 18:36:44
orbit plot

NeinteraktivnĂ­ graf | InteraktivnĂ­ graf

position vs time
speed and acceleration