🇳🇴 🇬🇧 🇩🇪 🇨🇿 🇫🇮

Meteor Rødbergin yllä 2022-11-07 18:36:44 UTC

KML-tiedosto  |  Interaktiivinen kartta

Kartta näyttää meteorin suuntahavainnot. Vaaleammat viivat näyttävät suunnat havaintoasemilta meteorin ilmestyessä, ja tummemmat viivat näyttävät, missä se viimeksi nähtiin. Sininen nuoli näyttää meteorin näkyvän lennon.

static map
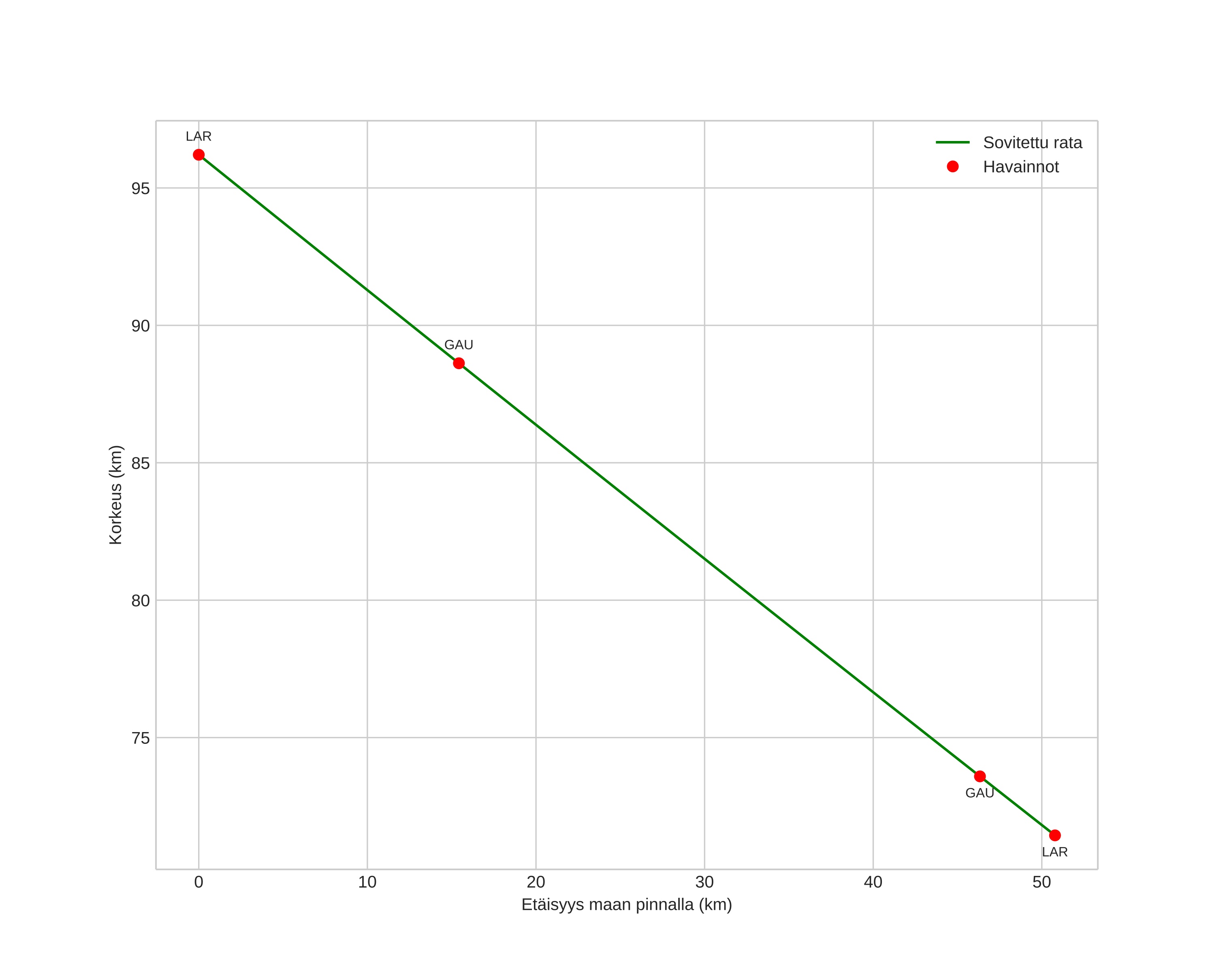
height profile
Meteorin ilmakehärata:
Alkukorkeus: 96,2 km
Loppukorkeus: 71,4 km
Alkupiste: 60,264N 9,897E
Loppupiste: 60,235N 8,978E
Suunta: 266,8°
Kallistuskulma: 26,0°
Tulonopeus: 31,7 km/s
Radiantin R,A,: 03:43 (55,9°)
Radiantin Dekl,: 22,0°
Meteoriparvi: Pohjoiset tauridit
Meteoroidin rataelementit:
Perihelietäisyys: 0,319 AU
Eksentrisyys: 0,852
Inklinaatio: 2,9°
Nousevan solmun pituus: 225,0°
Perihelin argumentti: 298,3°
Keskianomalia: 347,2°
Epookki: 2022 NOV 07 18:36:44
orbit plot

Ei-interaktiivinen kuvaaja | Interaktiivinen kuvaaja

position vs time
speed and acceleration