🇳🇴 🇬🇧 🇩🇪 🇨🇿 🇫🇮

Meteor, poloha: Larkollen 2022-11-07 20:47:02 UTC

Soubor KML  |  InteraktivnĂ­ mapa

Mapa zobrazuje dráhy meteoru. Světlejší čáry ukazují směry od pozorovacích stanic při objevení se meteoru a tmavší čáry, kde byl naposledy viděn. Modrá šipka značí viditelnou dráhu meteoru.

static map
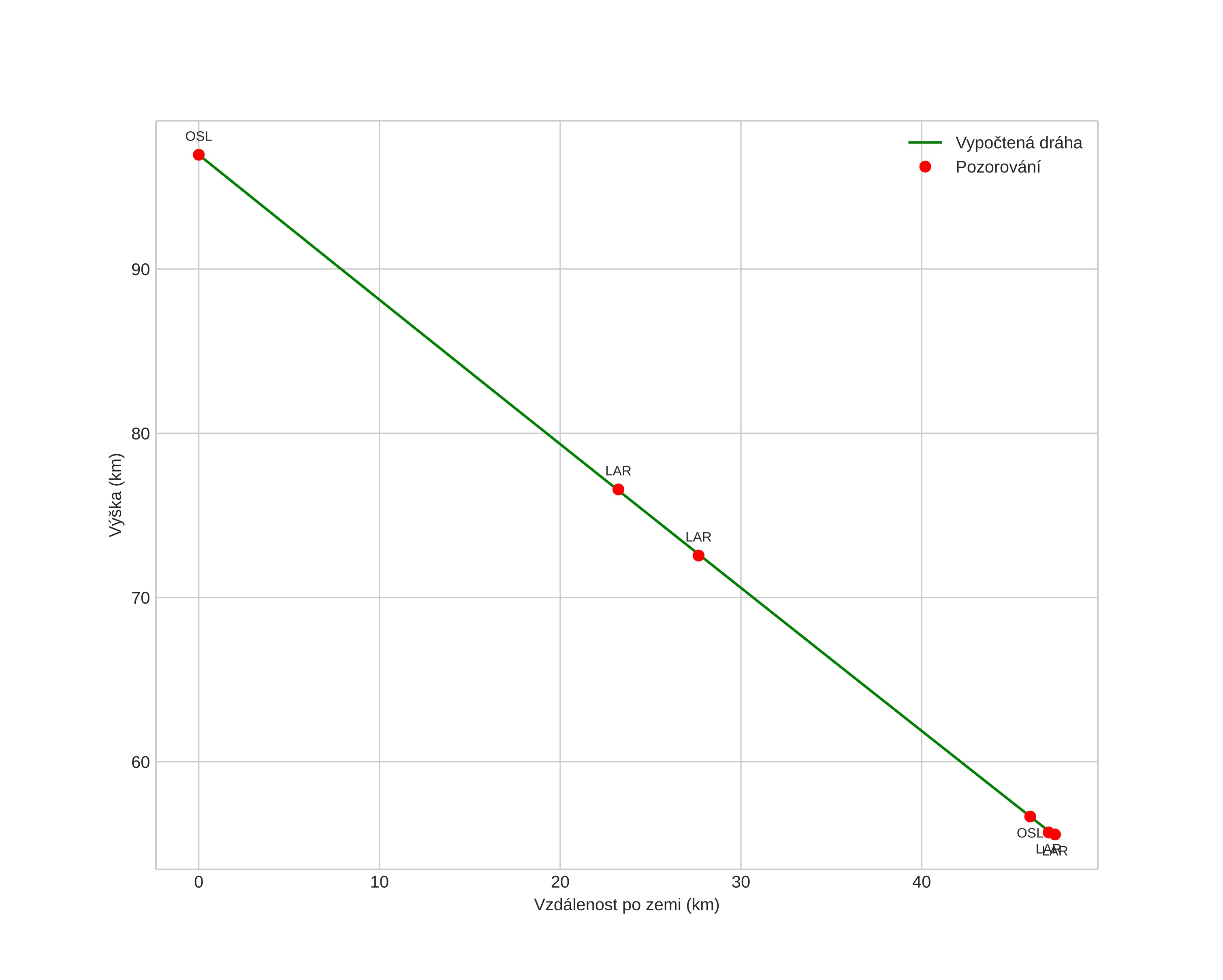
height profile
Atmosférická dráha meteoru:
Počáteční výška: 97,1 km
Konečná výška: 55,3 km
Počáteční poloha: 59,093N 11,353E
Konečná poloha: 59,290N 10,611E
Směr: 297,7°
Sklon: 41,3°
VstupnĂ­ rychlost: 33,3 km/s
Rektascenze radiantu: 03:45 (56,3°)
Deklinace radiantu: 21,4°
MeteorickĂ˝ roj: SevernĂ­ Tauridy
Elementy dráhy meteoroidu:
Vzdálenost v periheliu: 0,300 AU
Excentricita: 0,888
Sklon dráhy: 2,1°
Délka vzestupného uzlu: 225,0°
Argument perihelia: 299,0°
Střední anomálie: 351,0°
Epocha: 2022 NOV 07 20:47:02
orbit plot

NeinteraktivnĂ­ graf | InteraktivnĂ­ graf

position vs time
speed and acceleration