🇳🇴 🇬🇧 🇩🇪 🇨🇿 🇫🇮

Meteor Larkollenin yllä 2022-11-07 20:47:02 UTC

KML-tiedosto  |  Interaktiivinen kartta

Kartta näyttää meteorin suuntahavainnot. Vaaleammat viivat näyttävät suunnat havaintoasemilta meteorin ilmestyessä, ja tummemmat viivat näyttävät, missä se viimeksi nähtiin. Sininen nuoli näyttää meteorin näkyvän lennon.

static map
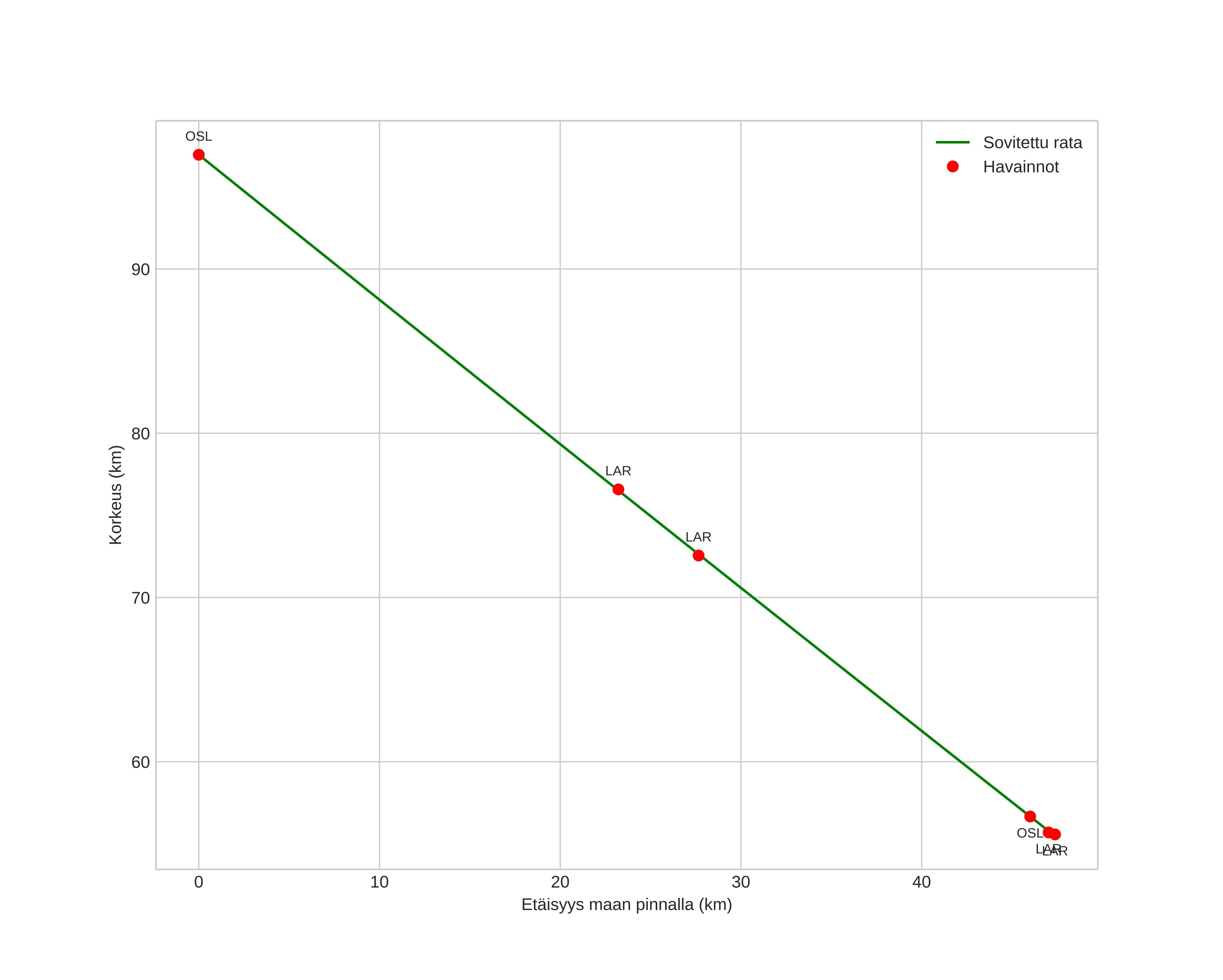
height profile
Meteorin ilmakehärata:
Alkukorkeus: 97,1 km
Loppukorkeus: 55,3 km
Alkupiste: 59,093N 11,353E
Loppupiste: 59,290N 10,611E
Suunta: 297,7°
Kallistuskulma: 41,3°
Tulonopeus: 33,3 km/s
Radiantin R,A,: 03:45 (56,3°)
Radiantin Dekl,: 21,4°
Meteoriparvi: Pohjoiset tauridit
Meteoroidin rataelementit:
Perihelietäisyys: 0,300 AU
Eksentrisyys: 0,888
Inklinaatio: 2,1°
Nousevan solmun pituus: 225,0°
Perihelin argumentti: 299,0°
Keskianomalia: 351,0°
Epookki: 2022 NOV 07 20:47:02
orbit plot

Ei-interaktiivinen kuvaaja | Interaktiivinen kuvaaja

position vs time
speed and acceleration