🇳🇴 🇬🇧 🇩🇪 🇨🇿 🇫🇮

Meteor, poloha: Sortland 2022-11-08 21:10:01 UTC

Soubor KML  |  InteraktivnĂ­ mapa

Mapa zobrazuje dráhy meteoru. Světlejší čáry ukazují směry od pozorovacích stanic při objevení se meteoru a tmavší čáry, kde byl naposledy viděn. Modrá šipka značí viditelnou dráhu meteoru.

static map
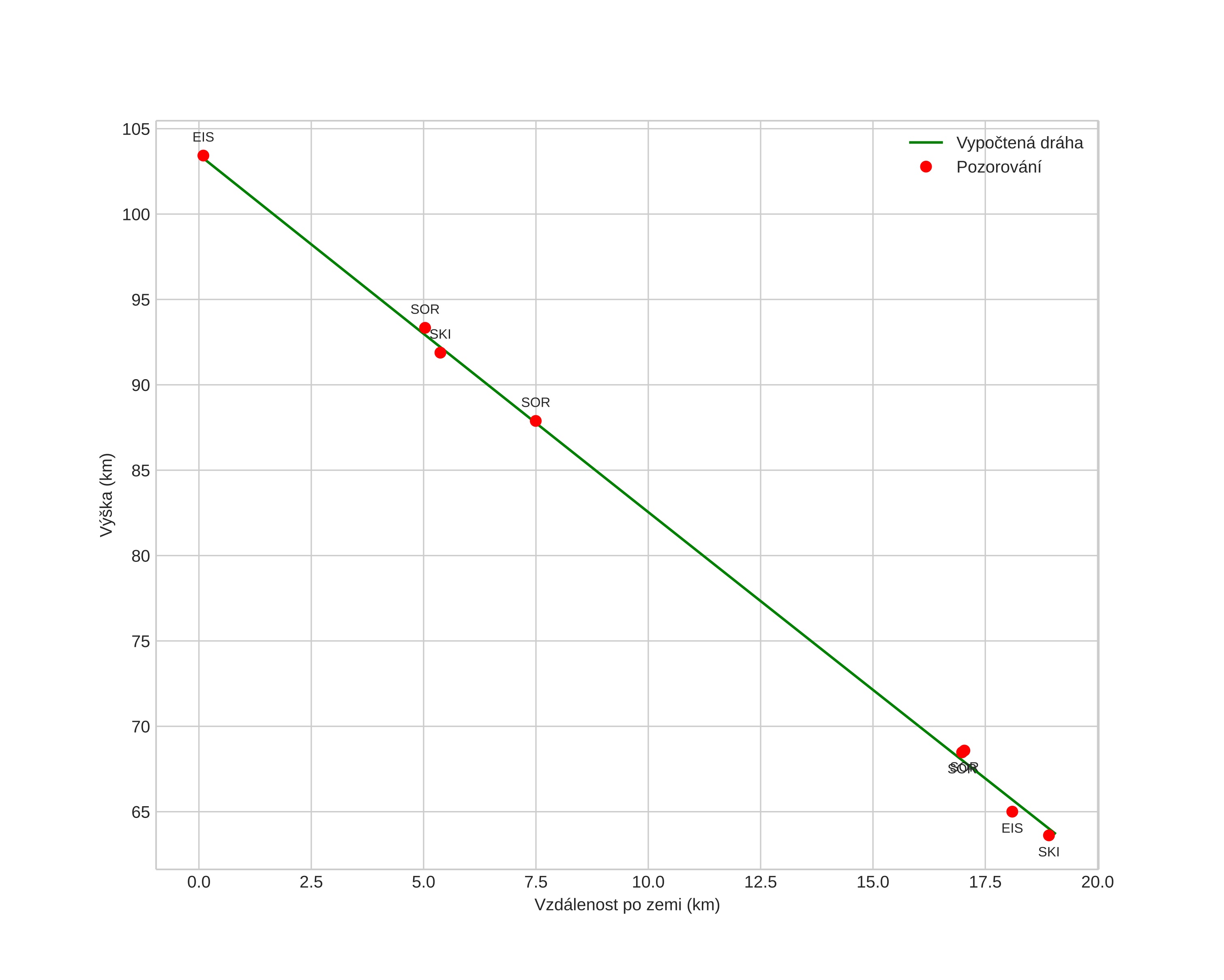
height profile
Atmosférická dráha meteoru:
Počáteční výška: 105,7 km
Konečná výška: 66,2 km
Počáteční poloha: 69,030N 15,422E
Konečná poloha: 68,888N 15,685E
Směr: 146,2°
Sklon: 64,3°
VstupnĂ­ rychlost: 38,2 km/s
Rektascenze radiantu: 19:05 (286,5°)
Deklinace radiantu: 75,4°
MeteorickĂ˝ roj: sporadickĂ˝
Elementy dráhy meteoroidu:
Vzdálenost v periheliu: 0,973 AU
Excentricita: 1,352
Sklon dráhy: 52,3°
Délka vzestupného uzlu: 226,1°
Argument perihelia: 194,2°
Střední anomálie: -2,0°
Epocha: 2022 NOV 08 21:10:01
orbit plot

NeinteraktivnĂ­ graf | InteraktivnĂ­ graf

position vs time
speed and acceleration