🇳🇴 🇬🇧 🇩🇪 🇨🇿 🇫🇮

Meteor Sortlandin yllä 2022-11-08 21:10:01 UTC

KML-tiedosto  |  Interaktiivinen kartta

Kartta näyttää meteorin suuntahavainnot. Vaaleammat viivat näyttävät suunnat havaintoasemilta meteorin ilmestyessä, ja tummemmat viivat näyttävät, missä se viimeksi nähtiin. Sininen nuoli näyttää meteorin näkyvän lennon.

static map
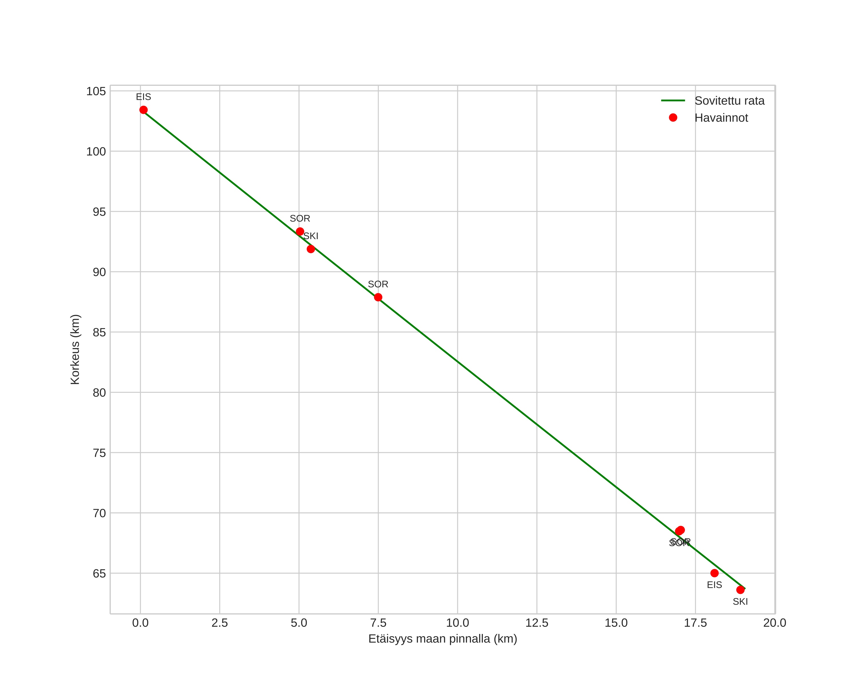
height profile
Meteorin ilmakehärata:
Alkukorkeus: 105,7 km
Loppukorkeus: 66,2 km
Alkupiste: 69,030N 15,422E
Loppupiste: 68,888N 15,685E
Suunta: 146,2°
Kallistuskulma: 64,3°
Tulonopeus: 38,2 km/s
Radiantin R,A,: 19:05 (286,5°)
Radiantin Dekl,: 75,4°
Meteoriparvi: Sporadinen
Meteoroidin rataelementit:
Perihelietäisyys: 0,973 AU
Eksentrisyys: 1,352
Inklinaatio: 52,3°
Nousevan solmun pituus: 226,1°
Perihelin argumentti: 194,2°
Keskianomalia: -2,0°
Epookki: 2022 NOV 08 21:10:01
orbit plot

Ei-interaktiivinen kuvaaja | Interaktiivinen kuvaaja

position vs time
speed and acceleration