🇳🇴 🇬🇧 🇩🇪 🇨🇿 🇫🇮

Meteor, poloha: Inari 2022-11-08 21:11:27 UTC

Soubor KML  |  InteraktivnĂ­ mapa

Mapa zobrazuje dráhy meteoru. Světlejší čáry ukazují směry od pozorovacích stanic při objevení se meteoru a tmavší čáry, kde byl naposledy viděn. Modrá šipka značí viditelnou dráhu meteoru.

static map
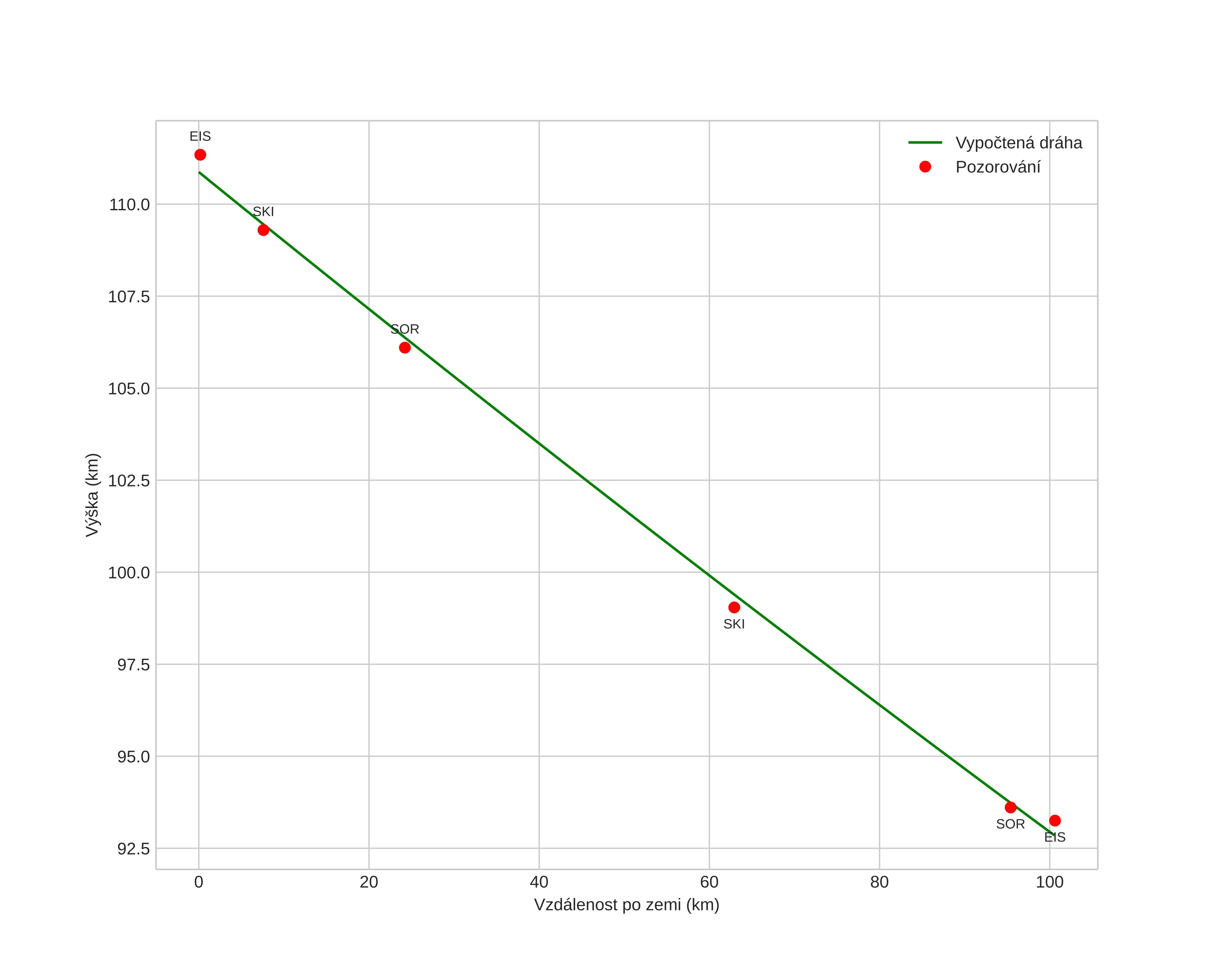
height profile
Atmosférická dráha meteoru:
Počáteční výška: 113,2 km
Konečná výška: 92,9 km
Počáteční poloha: 69,871N 27,392E
Konečná poloha: 69,016N 26,365E
Směr: 203,4°
Sklon: 11,1°
VstupnĂ­ rychlost: 58,9 km/s
Rektascenze radiantu: 12:26 (186,7°)
Deklinace radiantu: 28,7°
MeteorickĂ˝ roj: sporadickĂ˝
Elementy dráhy meteoroidu:
Vzdálenost v periheliu: 0,485 AU
Excentricita: 1,008
Sklon dráhy: 110,0°
Délka vzestupného uzlu: 226,1°
Argument perihelia: 89,0°
Střední anomálie: 0,1°
Epocha: 2022 NOV 08 21:11:27
orbit plot

NeinteraktivnĂ­ graf | InteraktivnĂ­ graf

position vs time
speed and acceleration