🇳🇴 🇬🇧 🇩🇪 🇨🇿 🇫🇮

Meteor Inarin yllä 2022-11-08 21:11:27 UTC

KML-tiedosto  |  Interaktiivinen kartta

Kartta näyttää meteorin suuntahavainnot. Vaaleammat viivat näyttävät suunnat havaintoasemilta meteorin ilmestyessä, ja tummemmat viivat näyttävät, missä se viimeksi nähtiin. Sininen nuoli näyttää meteorin näkyvän lennon.

static map
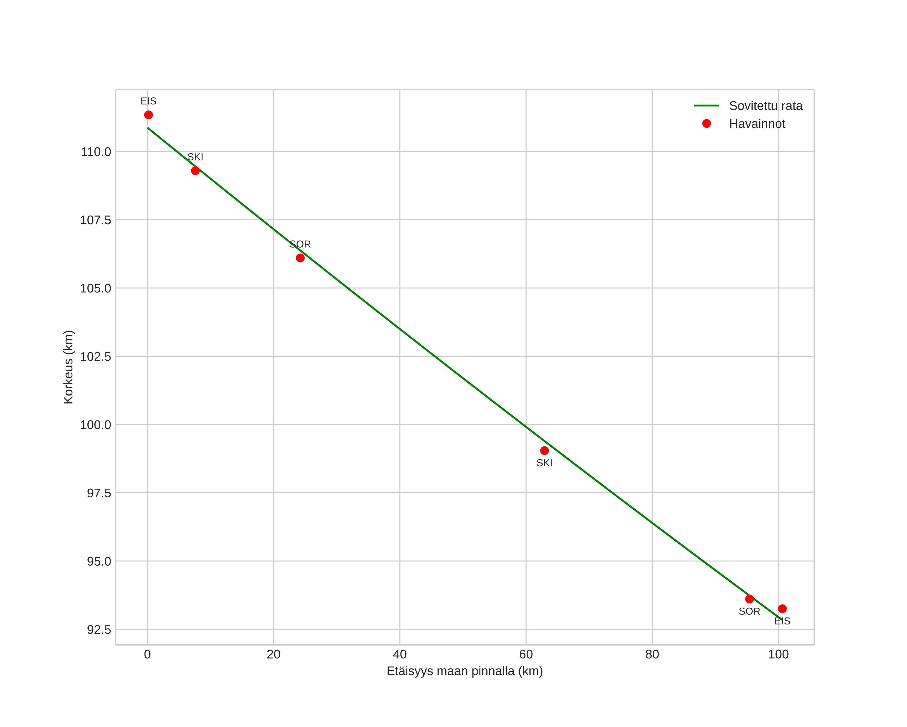
height profile
Meteorin ilmakehärata:
Alkukorkeus: 113,2 km
Loppukorkeus: 92,9 km
Alkupiste: 69,871N 27,392E
Loppupiste: 69,016N 26,365E
Suunta: 203,4°
Kallistuskulma: 11,1°
Tulonopeus: 58,9 km/s
Radiantin R,A,: 12:26 (186,7°)
Radiantin Dekl,: 28,7°
Meteoriparvi: Sporadinen
Meteoroidin rataelementit:
Perihelietäisyys: 0,485 AU
Eksentrisyys: 1,008
Inklinaatio: 110,0°
Nousevan solmun pituus: 226,1°
Perihelin argumentti: 89,0°
Keskianomalia: 0,1°
Epookki: 2022 NOV 08 21:11:27
orbit plot

Ei-interaktiivinen kuvaaja | Interaktiivinen kuvaaja

position vs time
speed and acceleration

Sorreisa (SOR) cam2


gnomonic
Videot:
• Gnomoninen
• Gnomoninen koordinaateilla
• Alkuperäinen
• Alkuperäinen koordinaateilla
Kuvat:
• Gnomoninen
• Gnomoninen koordinaateilla
• Alkuperäinen
• Alkuperäinen koordinaateilla
• Alkuperäinen maskilla
Tekstitiedostot:
• Havaintoraportti
• Observaatio
• Koordinaatit
• Virheilmoitukset
• Loki
Kirkkaus