🇳🇴 🇬🇧 🇩🇪 🇨🇿 🇫🇮

Meteor, poloha: Ávanuorri 2022-11-09 04:17:26 UTC

Soubor KML  |  Interaktivní mapa

Mapa zobrazuje dráhy meteoru. Světlejší čáry ukazují směry od pozorovacích stanic při objevení se meteoru a tmavší čáry, kde byl naposledy viděn. Modrá šipka značí viditelnou dráhu meteoru.

static map
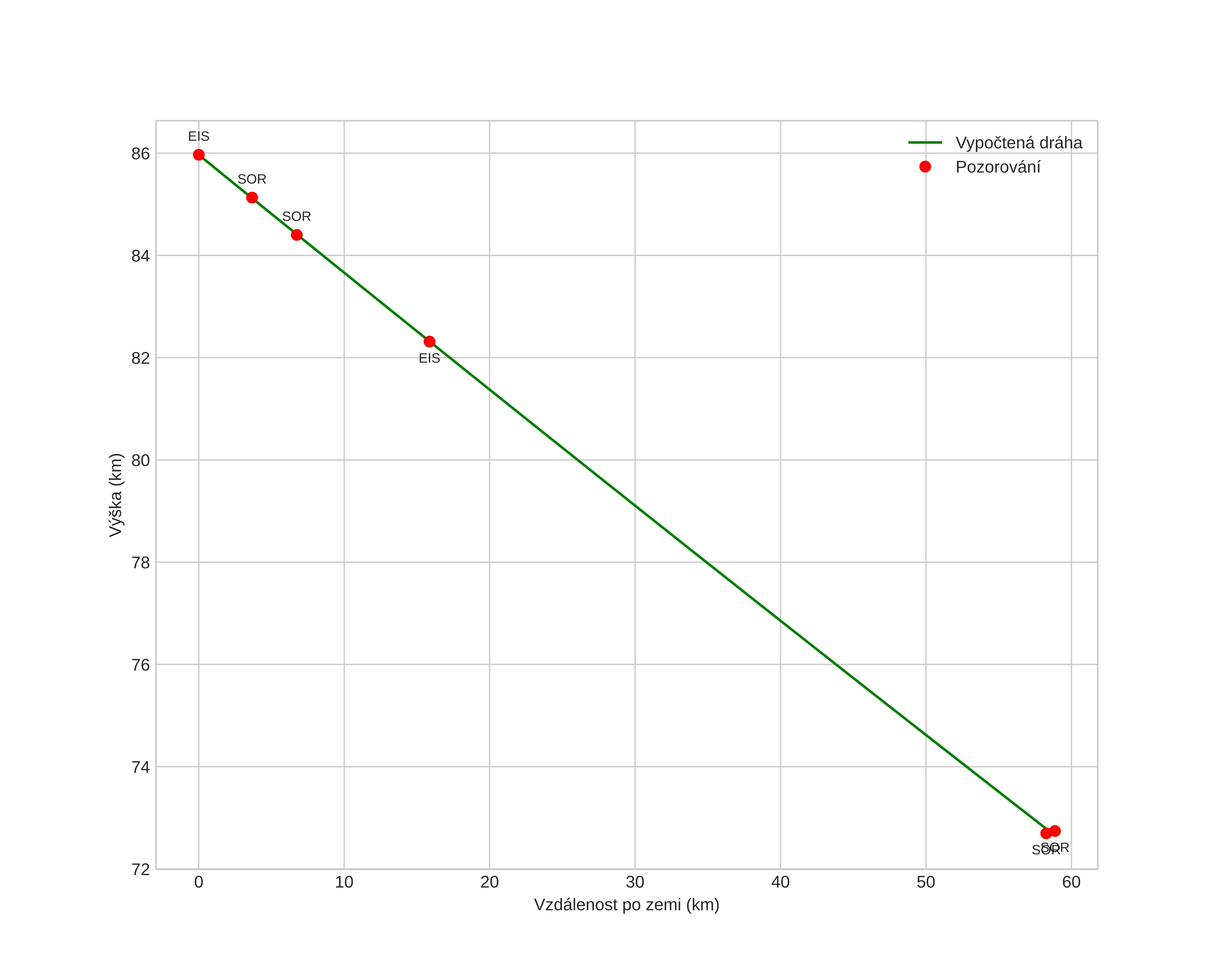
height profile
Atmosférická dráha meteoru:
Počáteční výška: 88,7 km
Konečná výška: 72,6 km
Počáteční poloha: 71,095N 22,947E
Konečná poloha: 71,088N 24,509E
Směr: 90,0°
Sklon: 16,0°
Vstupní rychlost: 20,9 km/s
Rektascenze radiantu: 03:12 (48,1°)
Deklinace radiantu: 8,2°
Meteorický roj: sporadický
Elementy dráhy meteoroidu:
Vzdálenost v periheliu: 0,611 AU
Excentricita: 0,598
Sklon dráhy: 5,6°
Délka vzestupného uzlu: 46,5°
Argument perihelia: 91,3°
Střední anomálie: 333,5°
Epocha: 2022 NOV 09 04:17:26
orbit plot

Neinteraktivní graf | Interaktivní graf

position vs time
speed and acceleration