🇳🇴 🇬🇧 🇩🇪 🇨🇿 🇫🇮

Meteor over Ávanuorri 2022-11-09 04:17:26 UTC

KML file  |  Interactive map

The map shows the bearings for the meteor. The lighter lines show the directions from the observation sites at the meteor's appearance, and the darker lines show where it was last seen. The blue arrow indicates the visible path of the meteor.

static map
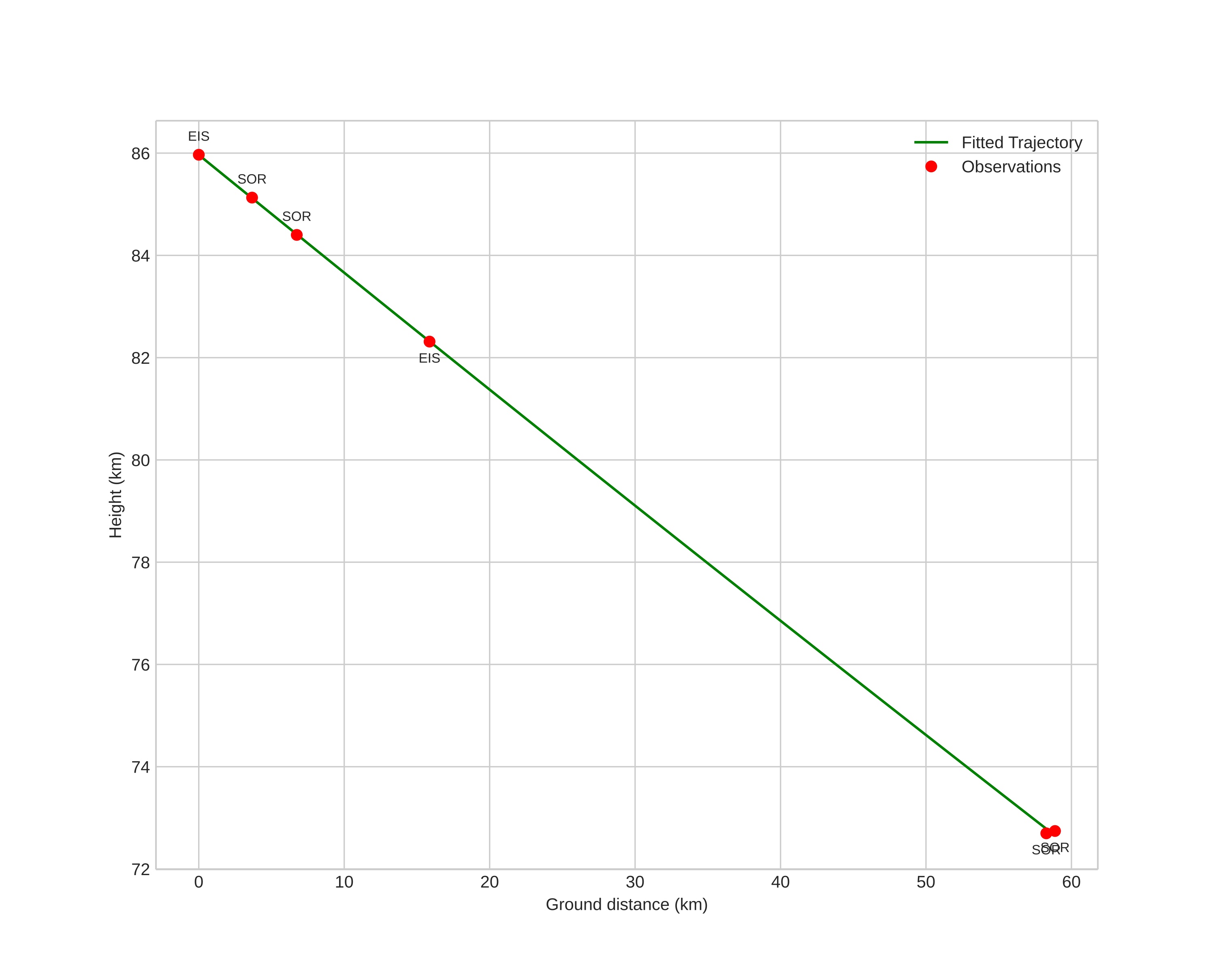
height profile
Meteor's Atmospheric Trajectory:
Start height: 88.7 km
End height: 72.6 km
Start position: 71.095N 22.947E
End position: 71.088N 24.509E
Direction: 90.0°
Inclination angle: 16.0°
Entry speed: 20.9 km/s
Radiant R.A.: 03:12 (48.1°)
Radiant Dec.: 8.2°
Meteor Shower: sporadic
Meteoroid's Orbital Elements:
Perihelion distance: 0.611 AU
Eccentricity: 0.598
Inclination: 5.6°
Long. of Asc. Node: 46.5°
Argument of Perihelion: 91.3°
Mean Anomaly: 333.5°
Epoch: 2022 NOV 09 04:17:26
orbit plot

Non-interactive plot | Interactive plot

position vs time
speed and acceleration