🇳🇴 🇬🇧 🇩🇪 🇨🇿 🇫🇮

Meteor, poloha: Evjen 2022-11-09 18:43:04 UTC

Soubor KML  |  InteraktivnĂ­ mapa

Mapa zobrazuje dráhy meteoru. Světlejší čáry ukazují směry od pozorovacích stanic při objevení se meteoru a tmavší čáry, kde byl naposledy viděn. Modrá šipka značí viditelnou dráhu meteoru.

static map
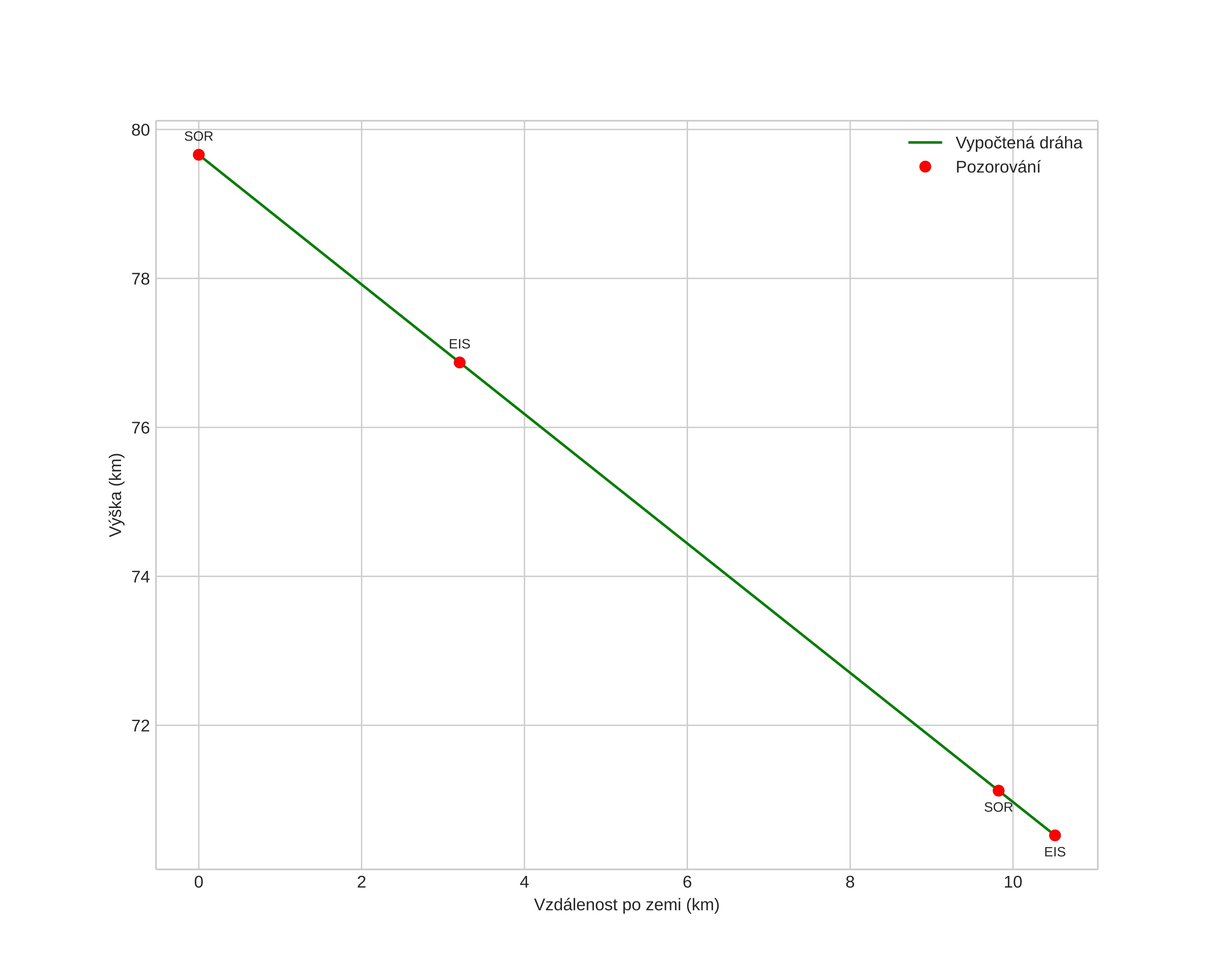
height profile
Atmosférická dráha meteoru:
Počáteční výška: 82,0 km
Konečná výška: 72,1 km
Počáteční poloha: 69,000N 13,255E
Konečná poloha: 69,085N 13,431E
Směr: 36,7°
Sklon: 40,2°
VstupnĂ­ rychlost: 21,1 km/s
Rektascenze radiantu: 20:45 (311,5°)
Deklinace radiantu: 18,1°
MeteorickĂ˝ roj: sporadickĂ˝
Elementy dráhy meteoroidu:
Vzdálenost v periheliu: 0,990 AU
Excentricita: 1,363
Sklon dráhy: 12,9°
Délka vzestupného uzlu: 227,0°
Argument perihelia: 182,5°
Střední anomálie: -0,4°
Epocha: 2022 NOV 09 18:43:04
orbit plot

NeinteraktivnĂ­ graf | InteraktivnĂ­ graf

position vs time
speed and acceleration