🇳🇴 🇬🇧 🇩🇪 🇨🇿 🇫🇮

Meteor Evjenin yllä 2022-11-09 18:43:04 UTC

KML-tiedosto  |  Interaktiivinen kartta

Kartta näyttää meteorin suuntahavainnot. Vaaleammat viivat näyttävät suunnat havaintoasemilta meteorin ilmestyessä, ja tummemmat viivat näyttävät, missä se viimeksi nähtiin. Sininen nuoli näyttää meteorin näkyvän lennon.

static map
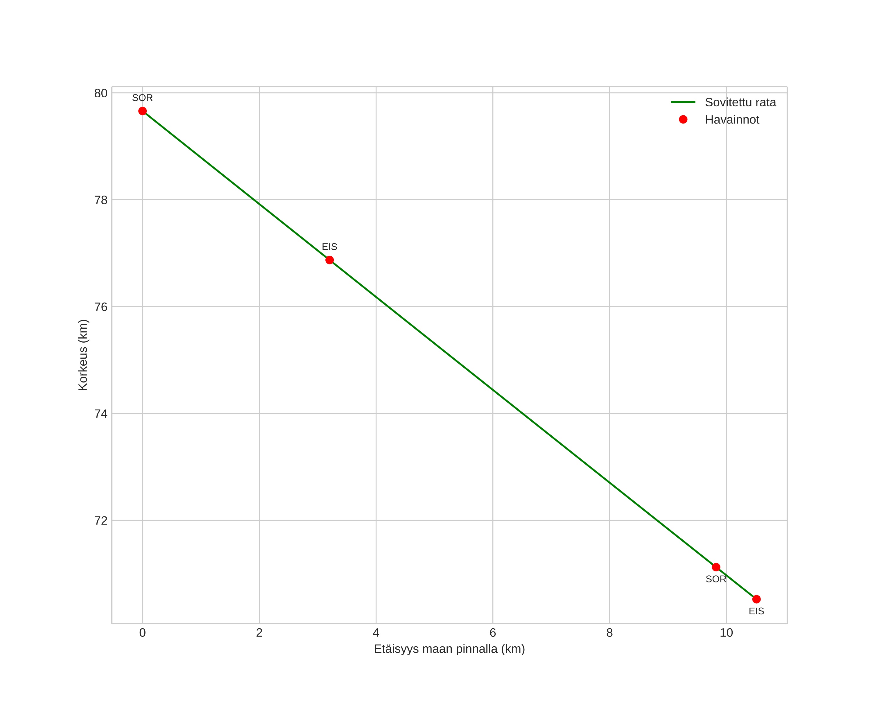
height profile
Meteorin ilmakehärata:
Alkukorkeus: 82,0 km
Loppukorkeus: 72,1 km
Alkupiste: 69,000N 13,255E
Loppupiste: 69,085N 13,431E
Suunta: 36,7°
Kallistuskulma: 40,2°
Tulonopeus: 21,1 km/s
Radiantin R,A,: 20:45 (311,5°)
Radiantin Dekl,: 18,1°
Meteoriparvi: Sporadinen
Meteoroidin rataelementit:
Perihelietäisyys: 0,990 AU
Eksentrisyys: 1,363
Inklinaatio: 12,9°
Nousevan solmun pituus: 227,0°
Perihelin argumentti: 182,5°
Keskianomalia: -0,4°
Epookki: 2022 NOV 09 18:43:04
orbit plot

Ei-interaktiivinen kuvaaja | Interaktiivinen kuvaaja

position vs time
speed and acceleration