🇳🇴 🇬🇧 🇩🇪 🇨🇿 🇫🇮

Meteor, poloha: Finnsnes 2022-11-10 00:33:45 UTC

Soubor KML  |  InteraktivnĂ­ mapa

Mapa zobrazuje dráhy meteoru. Světlejší čáry ukazují směry od pozorovacích stanic při objevení se meteoru a tmavší čáry, kde byl naposledy viděn. Modrá šipka značí viditelnou dráhu meteoru.

static map
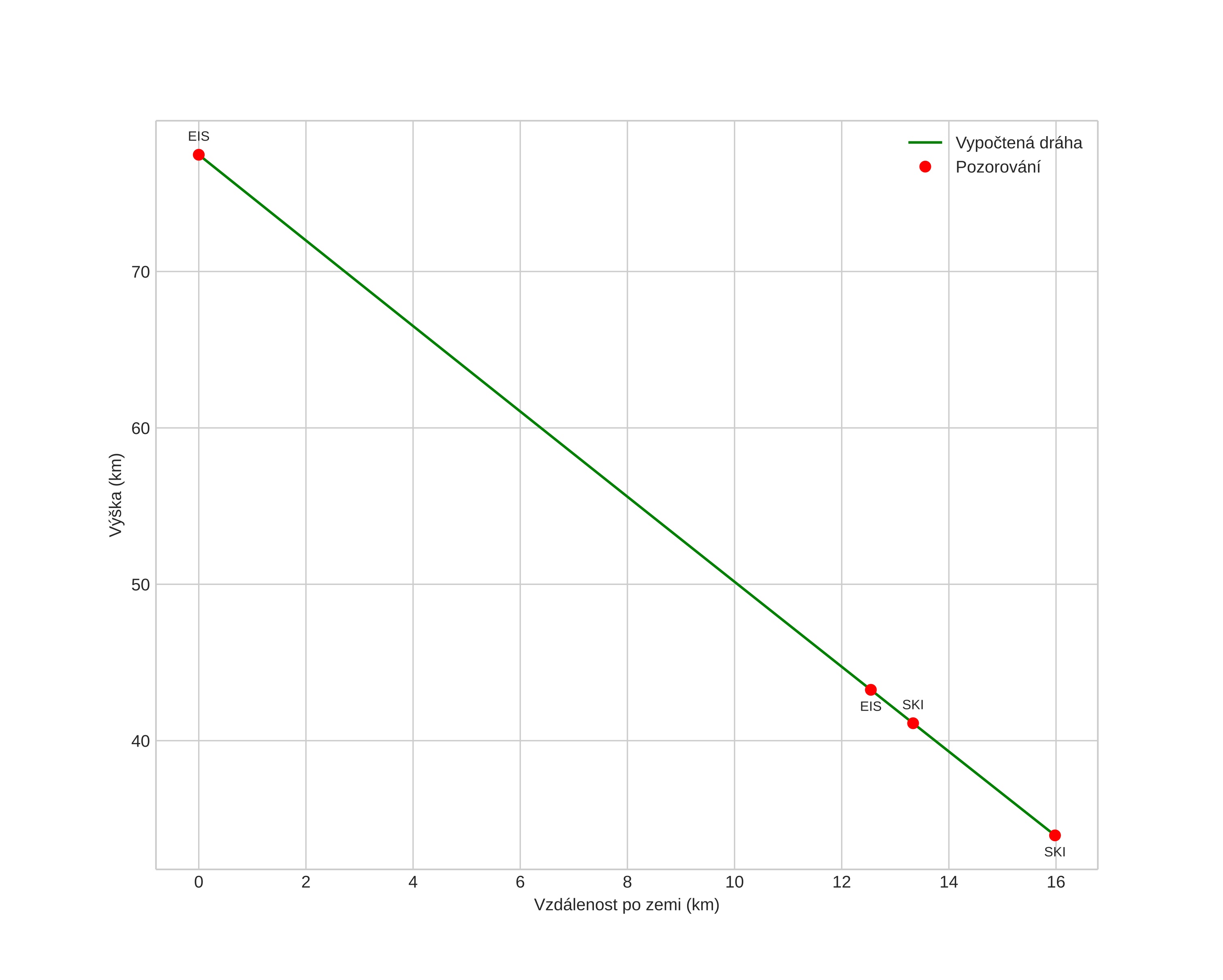
height profile
Atmosférická dráha meteoru:
Počáteční výška: 79,4 km
Konečná výška: 35,9 km
Počáteční poloha: 71,011N 16,808E
Konečná poloha: 70,980N 17,279E
Směr: 101,4°
Sklon: 68,2°
VstupnĂ­ rychlost: 14,2 km/s
Rektascenze radiantu: 00:33 (8,4°)
Deklinace radiantu: 60,0°
MeteorickĂ˝ roj: sporadickĂ˝
Elementy dráhy meteoroidu:
Vzdálenost v periheliu: 0,886 AU
Excentricita: 0,244
Sklon dráhy: 12,6°
Délka vzestupného uzlu: 227,3°
Argument perihelia: 242,4°
Střední anomálie: 320,3°
Epocha: 2022 NOV 10 00:33:45
orbit plot

NeinteraktivnĂ­ graf | InteraktivnĂ­ graf

position vs time
speed and acceleration