🇳🇴 🇬🇧 🇩🇪 🇨🇿 🇫🇮

Meteor Finnsnesin yllä 2022-11-10 00:33:45 UTC

KML-tiedosto  |  Interaktiivinen kartta

Kartta näyttää meteorin suuntahavainnot. Vaaleammat viivat näyttävät suunnat havaintoasemilta meteorin ilmestyessä, ja tummemmat viivat näyttävät, missä se viimeksi nähtiin. Sininen nuoli näyttää meteorin näkyvän lennon.

static map
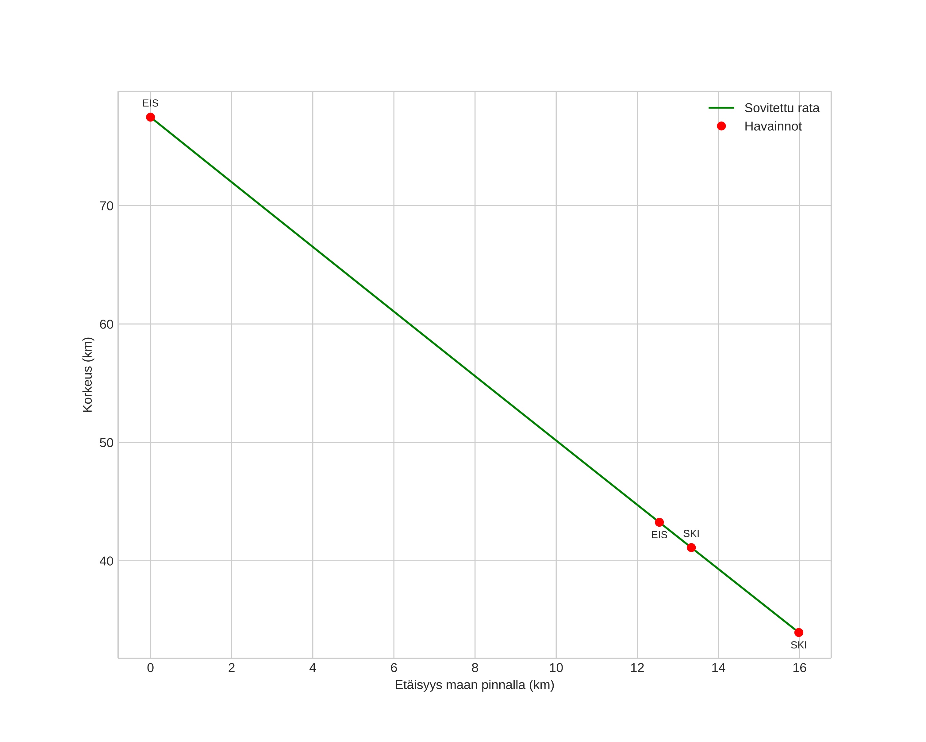
height profile
Meteorin ilmakehärata:
Alkukorkeus: 79,4 km
Loppukorkeus: 35,9 km
Alkupiste: 71,011N 16,808E
Loppupiste: 70,980N 17,279E
Suunta: 101,4°
Kallistuskulma: 68,2°
Tulonopeus: 14,2 km/s
Radiantin R,A,: 00:33 (8,4°)
Radiantin Dekl,: 60,0°
Meteoriparvi: Sporadinen
Meteoroidin rataelementit:
Perihelietäisyys: 0,886 AU
Eksentrisyys: 0,244
Inklinaatio: 12,6°
Nousevan solmun pituus: 227,3°
Perihelin argumentti: 242,4°
Keskianomalia: 320,3°
Epookki: 2022 NOV 10 00:33:45
orbit plot

Ei-interaktiivinen kuvaaja | Interaktiivinen kuvaaja

position vs time
speed and acceleration