🇳🇴 🇬🇧 🇩🇪 🇨🇿 🇫🇮

Meteor, poloha: Lyngseidet 2022-11-10 19:42:12 UTC

Soubor KML  |  InteraktivnĂ­ mapa

Mapa zobrazuje dráhy meteoru. Světlejší čáry ukazují směry od pozorovacích stanic při objevení se meteoru a tmavší čáry, kde byl naposledy viděn. Modrá šipka značí viditelnou dráhu meteoru.

static map
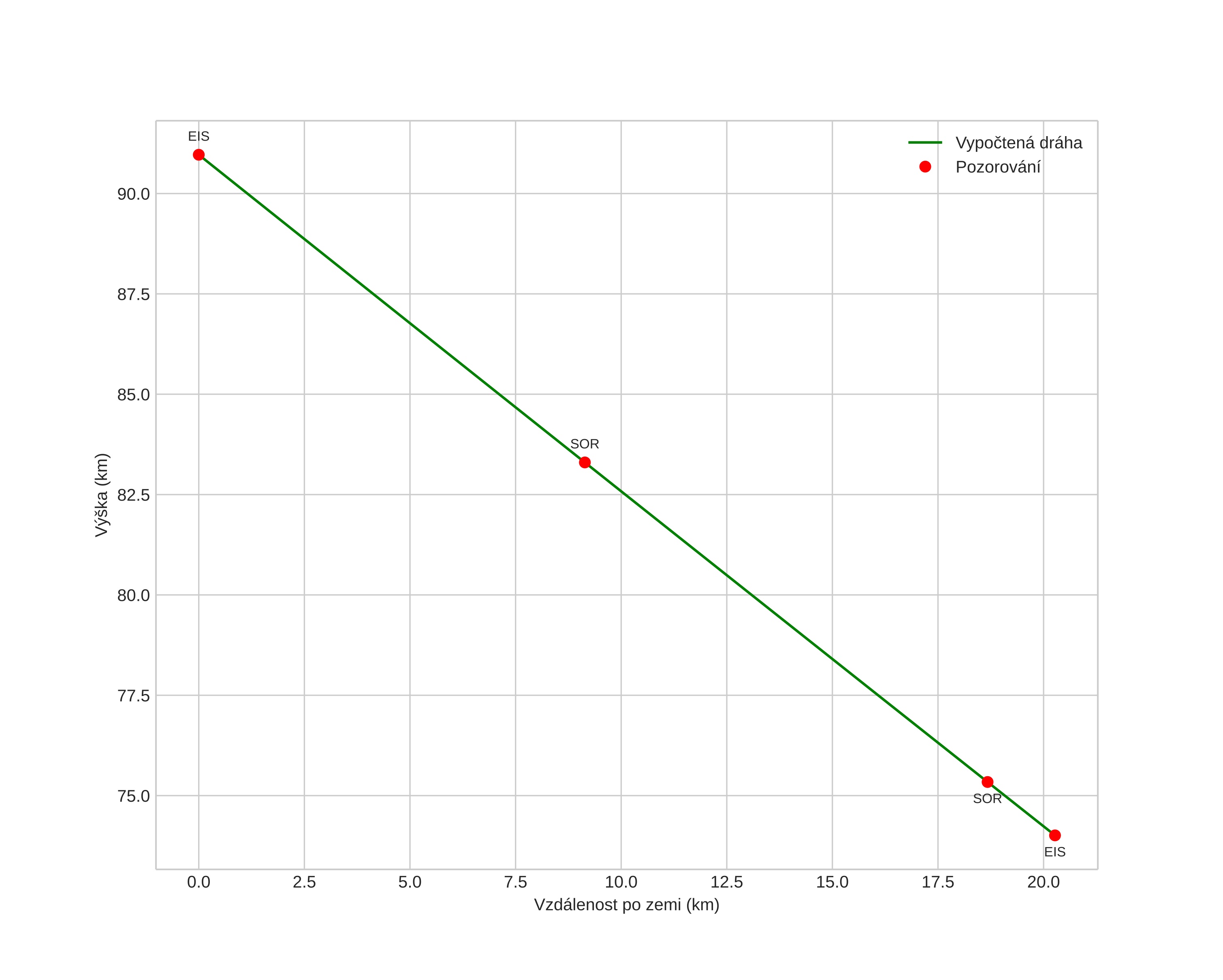
height profile
Atmosférická dráha meteoru:
Počáteční výška: 95,9 km
Konečná výška: 77,2 km
Počáteční poloha: 69,903N 20,724E
Konečná poloha: 70,025N 20,288E
Směr: 309,3°
Sklon: 41,1°
VstupnĂ­ rychlost: 24,8 km/s
Rektascenze radiantu: 03:08 (47,2°)
Deklinace radiantu: 24,1°
MeteorickĂ˝ roj: SevernĂ­ Tauridy
Elementy dráhy meteoroidu:
Vzdálenost v periheliu: 0,534 AU
Excentricita: 0,724
Sklon dráhy: 4,8°
Délka vzestupného uzlu: 228,0°
Argument perihelia: 275,5°
Střední anomálie: 343,0°
Epocha: 2022 NOV 10 19:42:12
orbit plot

NeinteraktivnĂ­ graf | InteraktivnĂ­ graf

position vs time
speed and acceleration