🇳🇴 🇬🇧 🇩🇪 🇨🇿 🇫🇮

Meteor Lyngseidetin yllä 2022-11-10 19:42:12 UTC

KML-tiedosto  |  Interaktiivinen kartta

Kartta näyttää meteorin suuntahavainnot. Vaaleammat viivat näyttävät suunnat havaintoasemilta meteorin ilmestyessä, ja tummemmat viivat näyttävät, missä se viimeksi nähtiin. Sininen nuoli näyttää meteorin näkyvän lennon.

static map
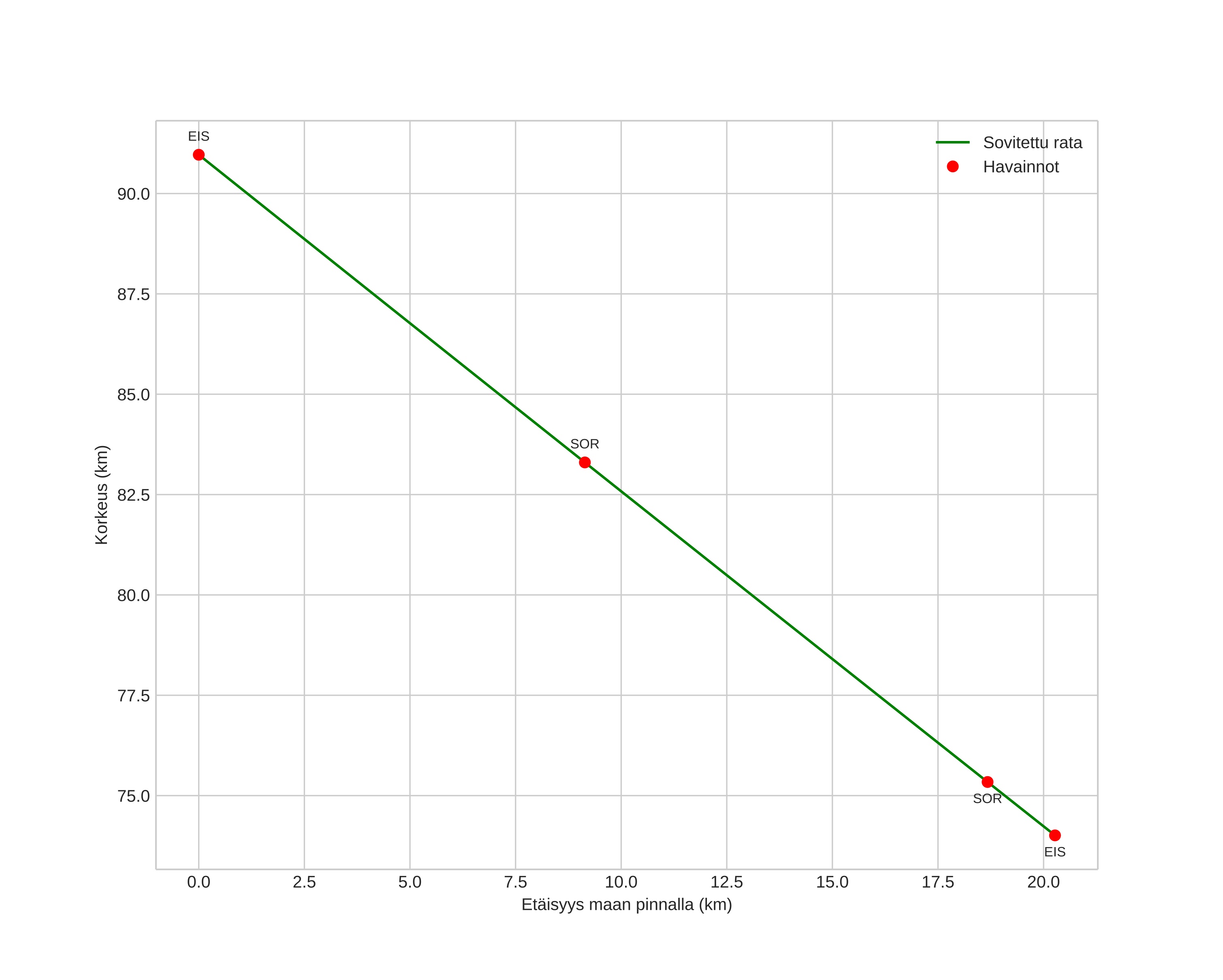
height profile
Meteorin ilmakehärata:
Alkukorkeus: 95,9 km
Loppukorkeus: 77,2 km
Alkupiste: 69,903N 20,724E
Loppupiste: 70,025N 20,288E
Suunta: 309,3°
Kallistuskulma: 41,1°
Tulonopeus: 24,8 km/s
Radiantin R,A,: 03:08 (47,2°)
Radiantin Dekl,: 24,1°
Meteoriparvi: Pohjoiset tauridit
Meteoroidin rataelementit:
Perihelietäisyys: 0,534 AU
Eksentrisyys: 0,724
Inklinaatio: 4,8°
Nousevan solmun pituus: 228,0°
Perihelin argumentti: 275,5°
Keskianomalia: 343,0°
Epookki: 2022 NOV 10 19:42:12
orbit plot

Ei-interaktiivinen kuvaaja | Interaktiivinen kuvaaja

position vs time
speed and acceleration