🇳🇴 🇬🇧 🇩🇪 🇨🇿 🇫🇮

Meteor, poloha: Skjervøy 2022-11-10 20:45:35 UTC

Soubor KML  |  InteraktivnĂ­ mapa

Mapa zobrazuje dráhy meteoru. Světlejší čáry ukazují směry od pozorovacích stanic při objevení se meteoru a tmavší čáry, kde byl naposledy viděn. Modrá šipka značí viditelnou dráhu meteoru.

static map
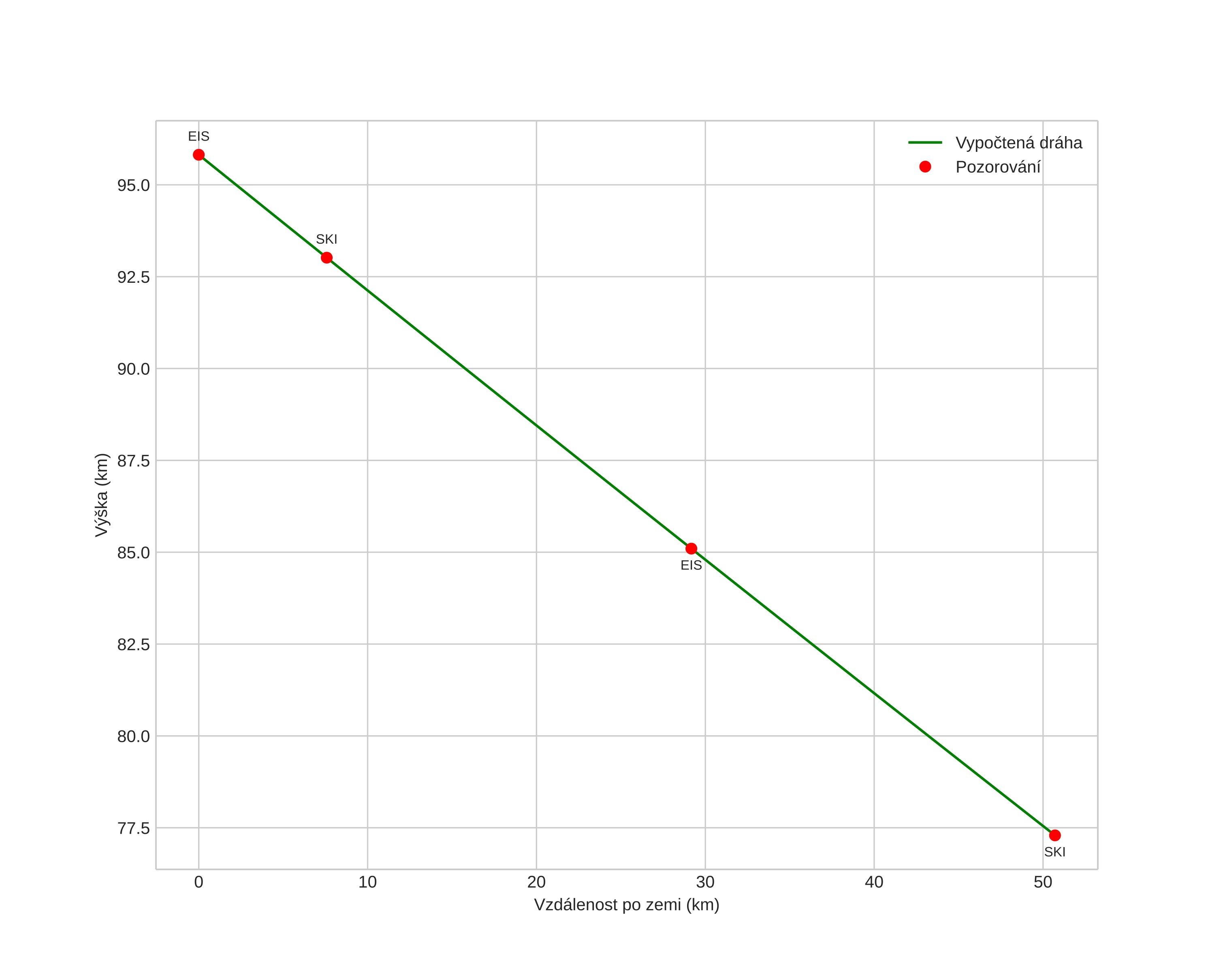
height profile
Atmosférická dráha meteoru:
Počáteční výška: 95,7 km
Konečná výška: 77,3 km
Počáteční poloha: 71,571N 21,168E
Konečná poloha: 72,012N 20,784E
Směr: 345,0°
Sklon: 19,9°
VstupnĂ­ rychlost: 22,0 km/s
Rektascenze radiantu: 02:25 (36,4°)
Deklinace radiantu: -4,0°
MeteorickĂ˝ roj: sporadickĂ˝
Elementy dráhy meteoroidu:
Vzdálenost v periheliu: 0,764 AU
Excentricita: 0,804
Sklon dráhy: 9,2°
Délka vzestupného uzlu: 48,1°
Argument perihelia: 60,8°
Střední anomálie: 355,3°
Epocha: 2022 NOV 10 20:45:35
orbit plot

NeinteraktivnĂ­ graf | InteraktivnĂ­ graf

position vs time
speed and acceleration