🇳🇴 🇬🇧 🇩🇪 🇨🇿 🇫🇮

Meteor Skjervøyn yllä 2022-11-10 20:45:35 UTC

KML-tiedosto  |  Interaktiivinen kartta

Kartta näyttää meteorin suuntahavainnot. Vaaleammat viivat näyttävät suunnat havaintoasemilta meteorin ilmestyessä, ja tummemmat viivat näyttävät, missä se viimeksi nähtiin. Sininen nuoli näyttää meteorin näkyvän lennon.

static map
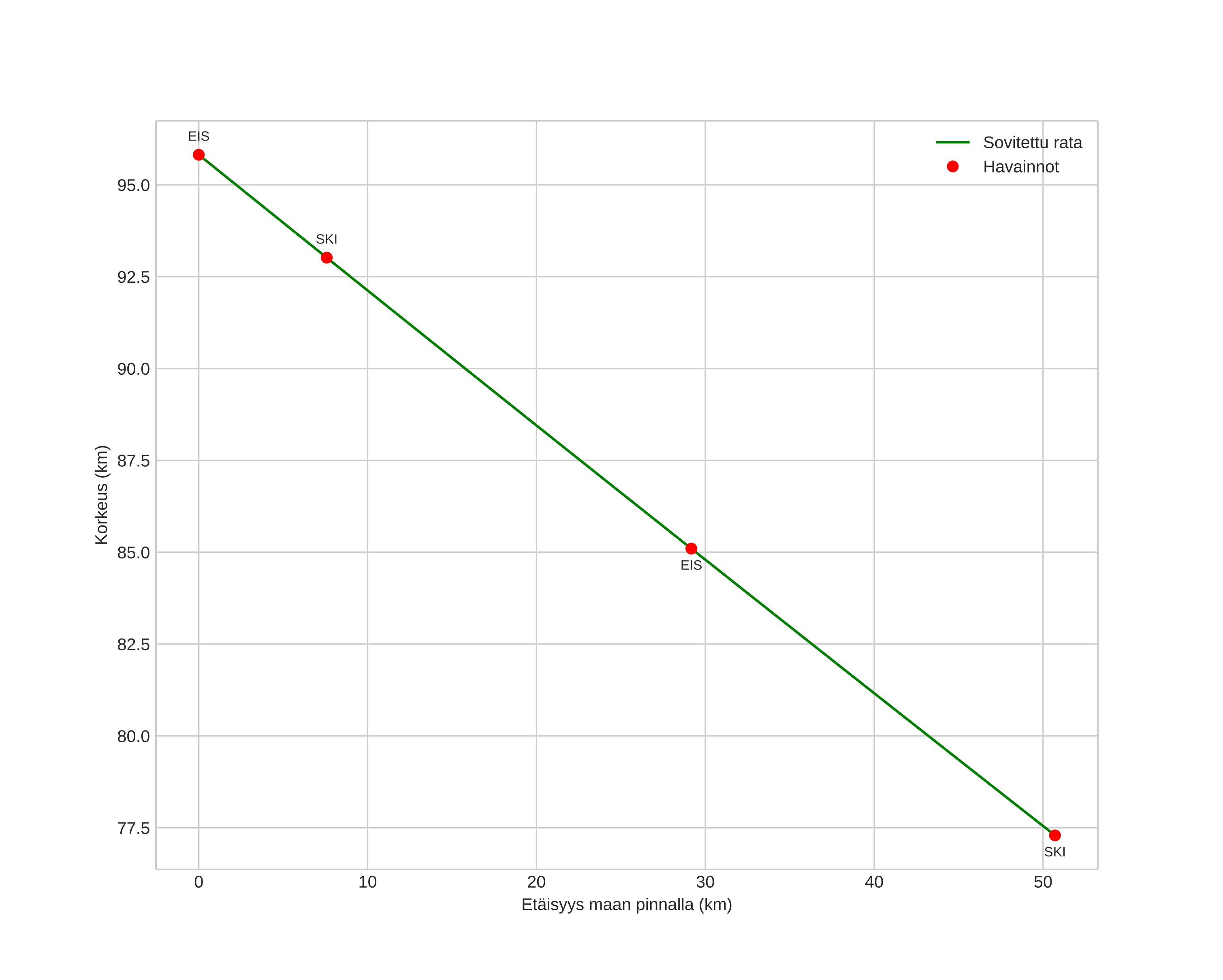
height profile
Meteorin ilmakehärata:
Alkukorkeus: 95,7 km
Loppukorkeus: 77,3 km
Alkupiste: 71,571N 21,168E
Loppupiste: 72,012N 20,784E
Suunta: 345,0°
Kallistuskulma: 19,9°
Tulonopeus: 22,0 km/s
Radiantin R,A,: 02:25 (36,4°)
Radiantin Dekl,: -4,0°
Meteoriparvi: Sporadinen
Meteoroidin rataelementit:
Perihelietäisyys: 0,764 AU
Eksentrisyys: 0,804
Inklinaatio: 9,2°
Nousevan solmun pituus: 48,1°
Perihelin argumentti: 60,8°
Keskianomalia: 355,3°
Epookki: 2022 NOV 10 20:45:35
orbit plot

Ei-interaktiivinen kuvaaja | Interaktiivinen kuvaaja

position vs time
speed and acceleration