🇳🇴 🇬🇧 🇩🇪 🇨🇿 🇫🇮

Meteor, poloha: Ramberg 2022-11-10 21:43:49 UTC

Soubor KML  |  InteraktivnĂ­ mapa

Mapa zobrazuje dráhy meteoru. Světlejší čáry ukazují směry od pozorovacích stanic při objevení se meteoru a tmavší čáry, kde byl naposledy viděn. Modrá šipka značí viditelnou dráhu meteoru.

static map
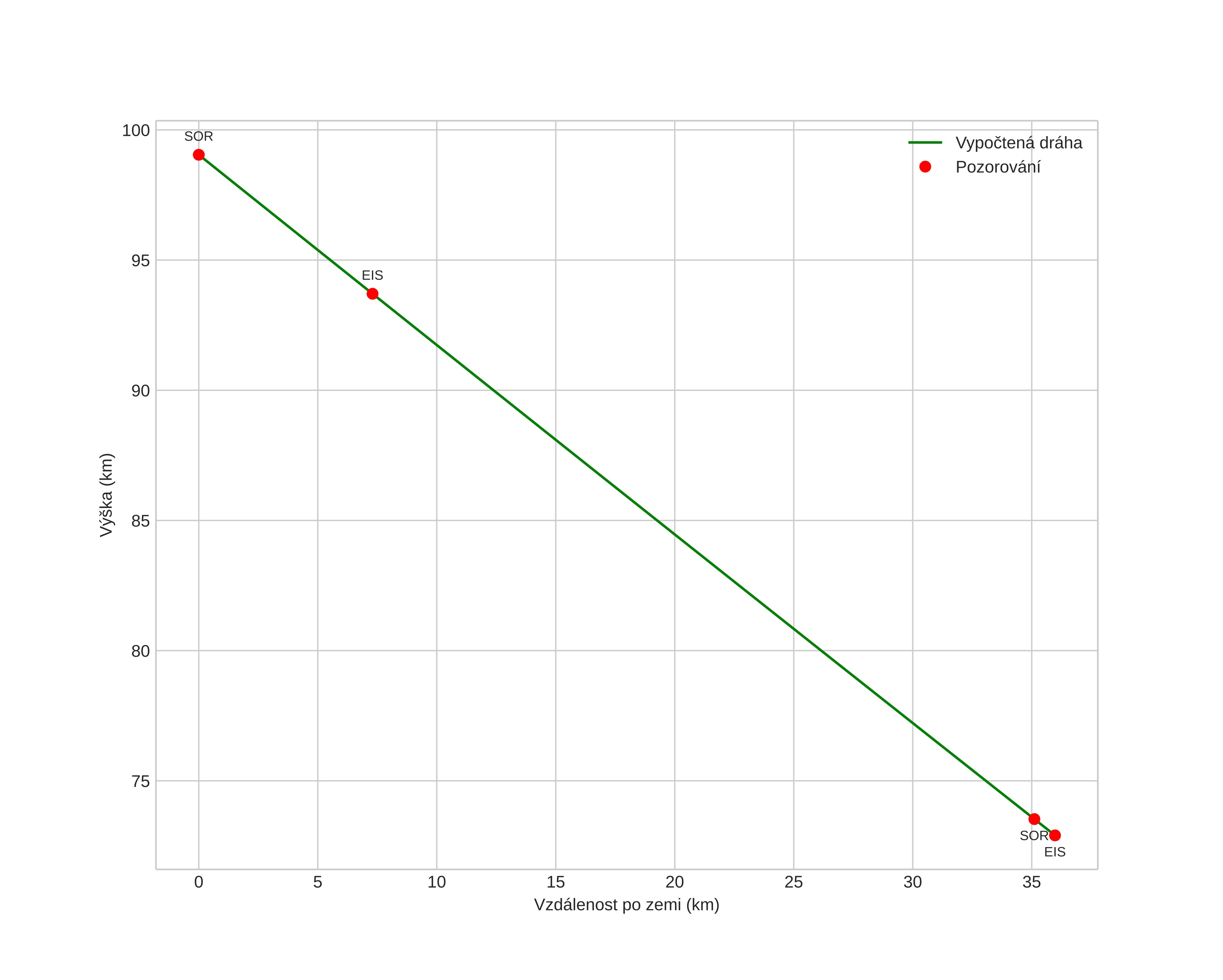
height profile
Atmosférická dráha meteoru:
Počáteční výška: 98,6 km
Konečná výška: 72,3 km
Počáteční poloha: 68,639N 13,476E
Konečná poloha: 68,906N 13,014E
Směr: 328,1°
Sklon: 36,9°
VstupnĂ­ rychlost: 31,3 km/s
Rektascenze radiantu: 03:42 (55,6°)
Deklinace radiantu: 16,3°
MeteorickĂ˝ roj: JiĹľnĂ­ Tauridy
Elementy dráhy meteoroidu:
Vzdálenost v periheliu: 0,386 AU
Excentricita: 0,877
Sklon dráhy: 3,8°
Délka vzestupného uzlu: 48,2°
Argument perihelia: 107,8°
Střední anomálie: 352,8°
Epocha: 2022 NOV 10 21:43:49
orbit plot

NeinteraktivnĂ­ graf | InteraktivnĂ­ graf

position vs time
speed and acceleration