🇳🇴 🇬🇧 🇩🇪 🇨🇿 🇫🇮

Meteor Rambergin yllä 2022-11-10 21:43:49 UTC

KML-tiedosto  |  Interaktiivinen kartta

Kartta näyttää meteorin suuntahavainnot. Vaaleammat viivat näyttävät suunnat havaintoasemilta meteorin ilmestyessä, ja tummemmat viivat näyttävät, missä se viimeksi nähtiin. Sininen nuoli näyttää meteorin näkyvän lennon.

static map
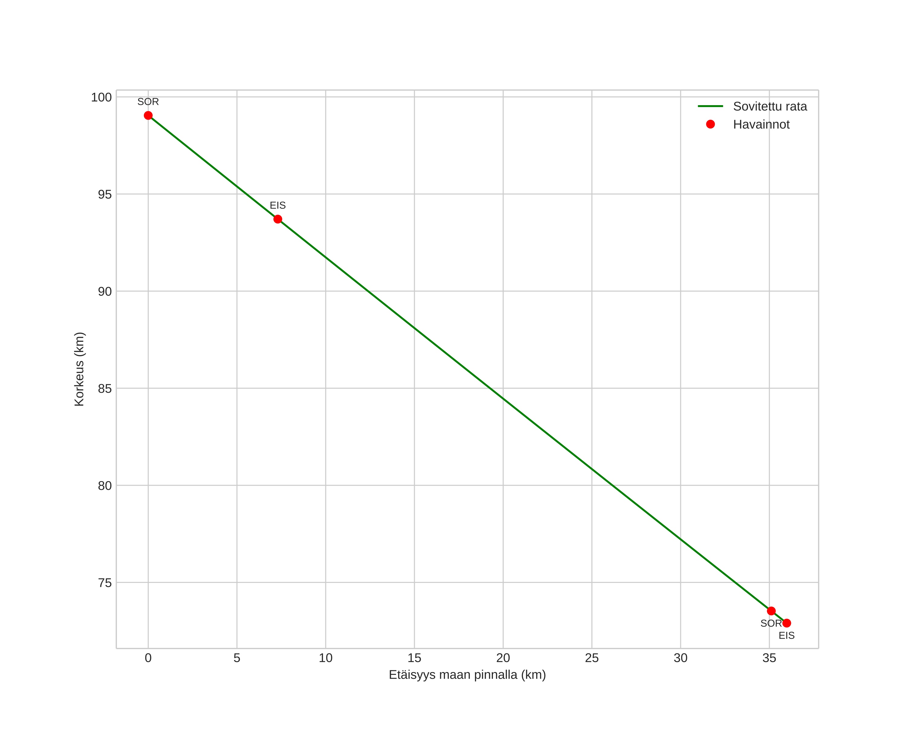
height profile
Meteorin ilmakehärata:
Alkukorkeus: 98,6 km
Loppukorkeus: 72,3 km
Alkupiste: 68,639N 13,476E
Loppupiste: 68,906N 13,014E
Suunta: 328,1°
Kallistuskulma: 36,9°
Tulonopeus: 31,3 km/s
Radiantin R,A,: 03:42 (55,6°)
Radiantin Dekl,: 16,3°
Meteoriparvi: Eteläiset tauridit
Meteoroidin rataelementit:
Perihelietäisyys: 0,386 AU
Eksentrisyys: 0,877
Inklinaatio: 3,8°
Nousevan solmun pituus: 48,2°
Perihelin argumentti: 107,8°
Keskianomalia: 352,8°
Epookki: 2022 NOV 10 21:43:49
orbit plot

Ei-interaktiivinen kuvaaja | Interaktiivinen kuvaaja

position vs time
speed and acceleration