🇳🇴 🇬🇧 🇩🇪 🇨🇿 🇫🇮

Meteor, poloha: Brøstadbotn 2022-11-10 21:54:14 UTC

Soubor KML  |  InteraktivnĂ­ mapa

Mapa zobrazuje dráhy meteoru. Světlejší čáry ukazují směry od pozorovacích stanic při objevení se meteoru a tmavší čáry, kde byl naposledy viděn. Modrá šipka značí viditelnou dráhu meteoru.

static map
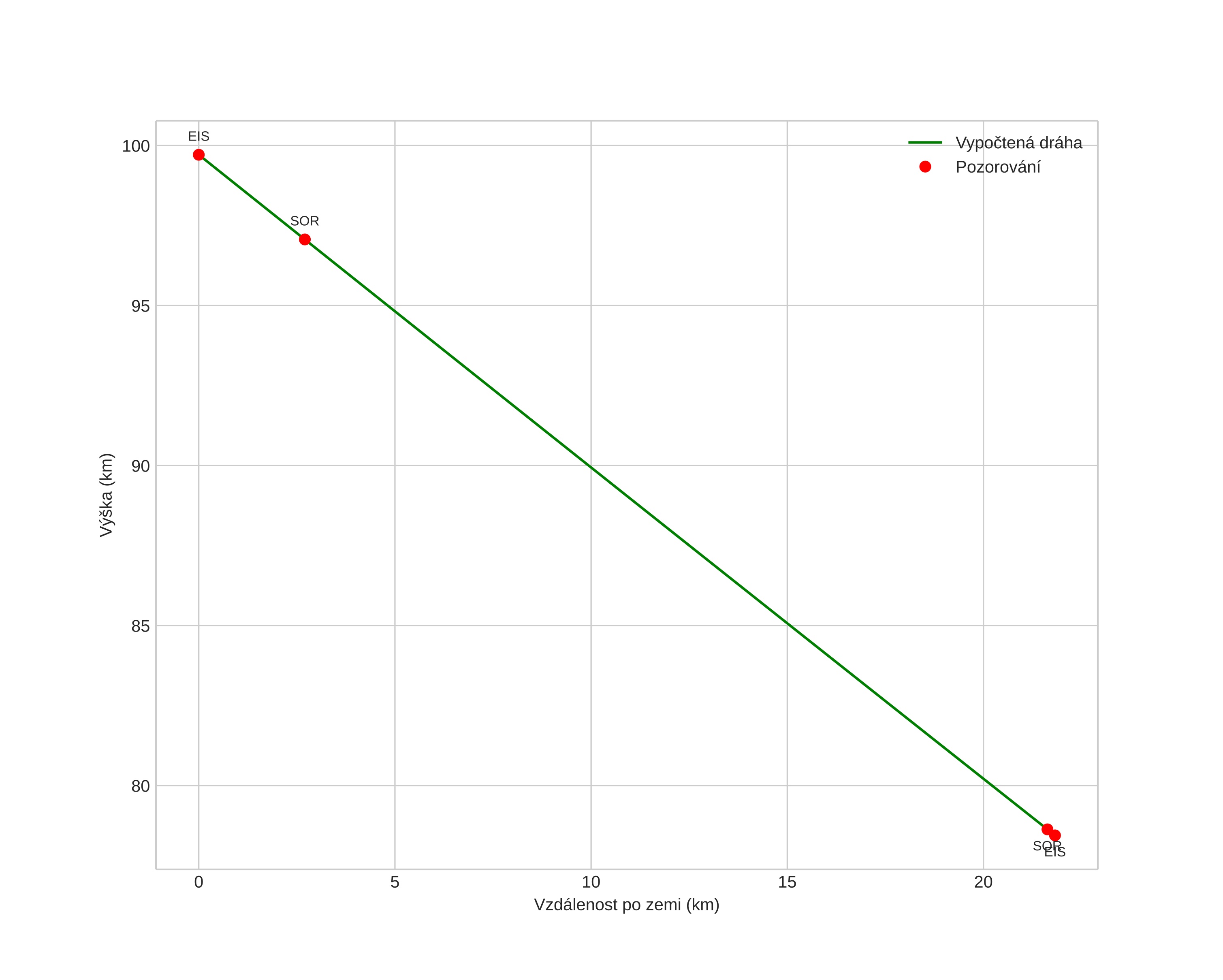
height profile
Atmosférická dráha meteoru:
Počáteční výška: 100,3 km
Konečná výška: 78,9 km
Počáteční poloha: 69,161N 17,570E
Konečná poloha: 69,336N 17,328E
Směr: 334,0°
Sklon: 44,6°
VstupnĂ­ rychlost: 31,7 km/s
Rektascenze radiantu: 03:43 (55,9°)
Deklinace radiantu: 23,8°
MeteorickĂ˝ roj: SevernĂ­ Tauridy
Elementy dráhy meteoroidu:
Vzdálenost v periheliu: 0,356 AU
Excentricita: 0,871
Sklon dráhy: 4,7°
Délka vzestupného uzlu: 228,1°
Argument perihelia: 292,1°
Střední anomálie: 351,1°
Epocha: 2022 NOV 10 21:54:14
orbit plot

NeinteraktivnĂ­ graf | InteraktivnĂ­ graf

position vs time
speed and acceleration