🇳🇴 🇬🇧 🇩🇪 🇨🇿 🇫🇮

Meteor Brøstadbotnin yllä 2022-11-10 21:54:14 UTC

KML-tiedosto  |  Interaktiivinen kartta

Kartta näyttää meteorin suuntahavainnot. Vaaleammat viivat näyttävät suunnat havaintoasemilta meteorin ilmestyessä, ja tummemmat viivat näyttävät, missä se viimeksi nähtiin. Sininen nuoli näyttää meteorin näkyvän lennon.

static map
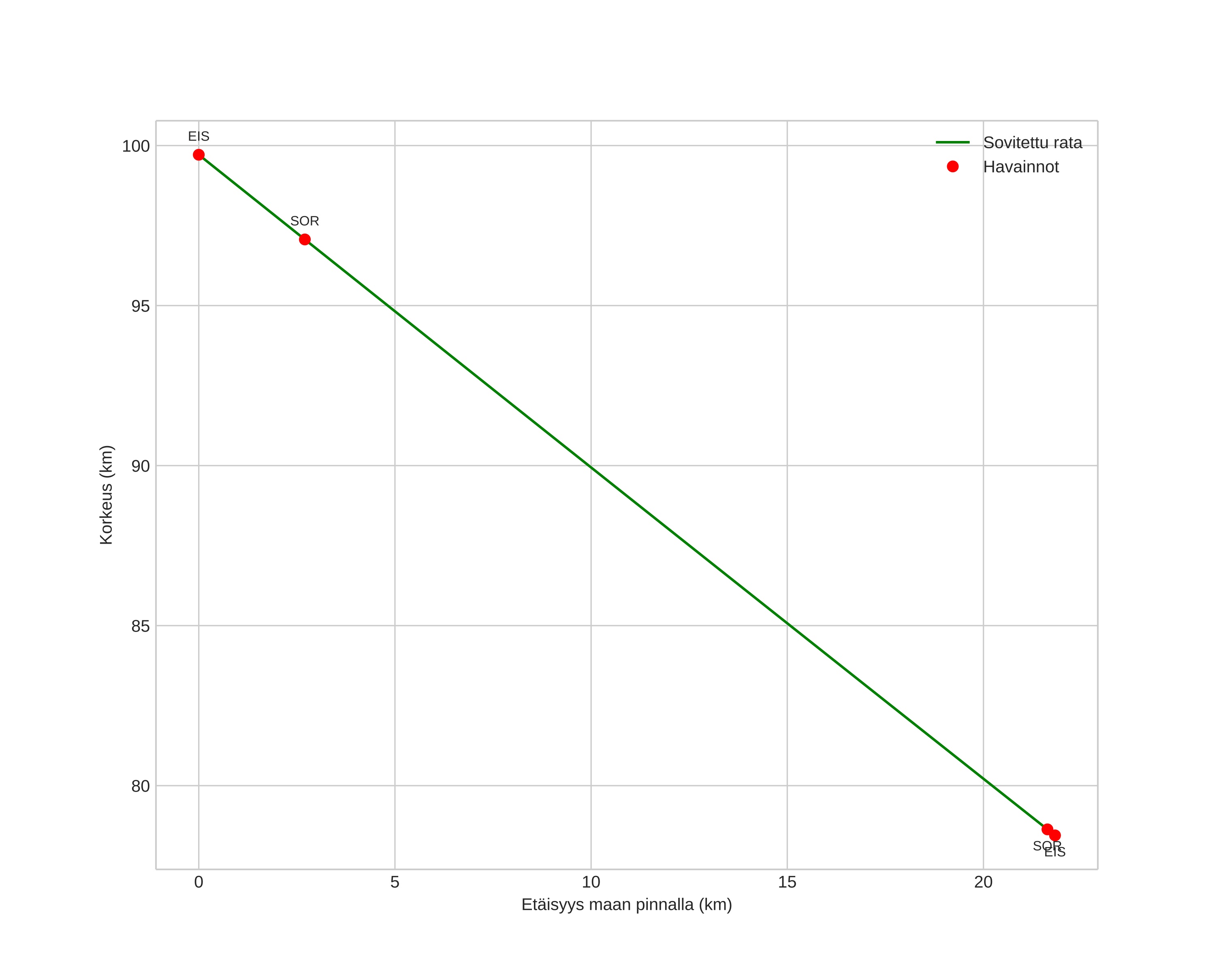
height profile
Meteorin ilmakehärata:
Alkukorkeus: 100,3 km
Loppukorkeus: 78,9 km
Alkupiste: 69,161N 17,570E
Loppupiste: 69,336N 17,328E
Suunta: 334,0°
Kallistuskulma: 44,6°
Tulonopeus: 31,7 km/s
Radiantin R,A,: 03:43 (55,9°)
Radiantin Dekl,: 23,8°
Meteoriparvi: Pohjoiset tauridit
Meteoroidin rataelementit:
Perihelietäisyys: 0,356 AU
Eksentrisyys: 0,871
Inklinaatio: 4,7°
Nousevan solmun pituus: 228,1°
Perihelin argumentti: 292,1°
Keskianomalia: 351,1°
Epookki: 2022 NOV 10 21:54:14
orbit plot

Ei-interaktiivinen kuvaaja | Interaktiivinen kuvaaja

position vs time
speed and acceleration