🇳🇴 🇬🇧 🇩🇪 🇨🇿 🇫🇮

Meteor, poloha: Hansnes 2022-11-10 23:22:17 UTC

Soubor KML

Mapa zobrazuje dráhy meteoru. Světlejší čáry ukazují směry od pozorovacích stanic při objevení se meteoru a tmavší čáry, kde byl naposledy viděn. Modrá šipka značí viditelnou dráhu meteoru.

static map
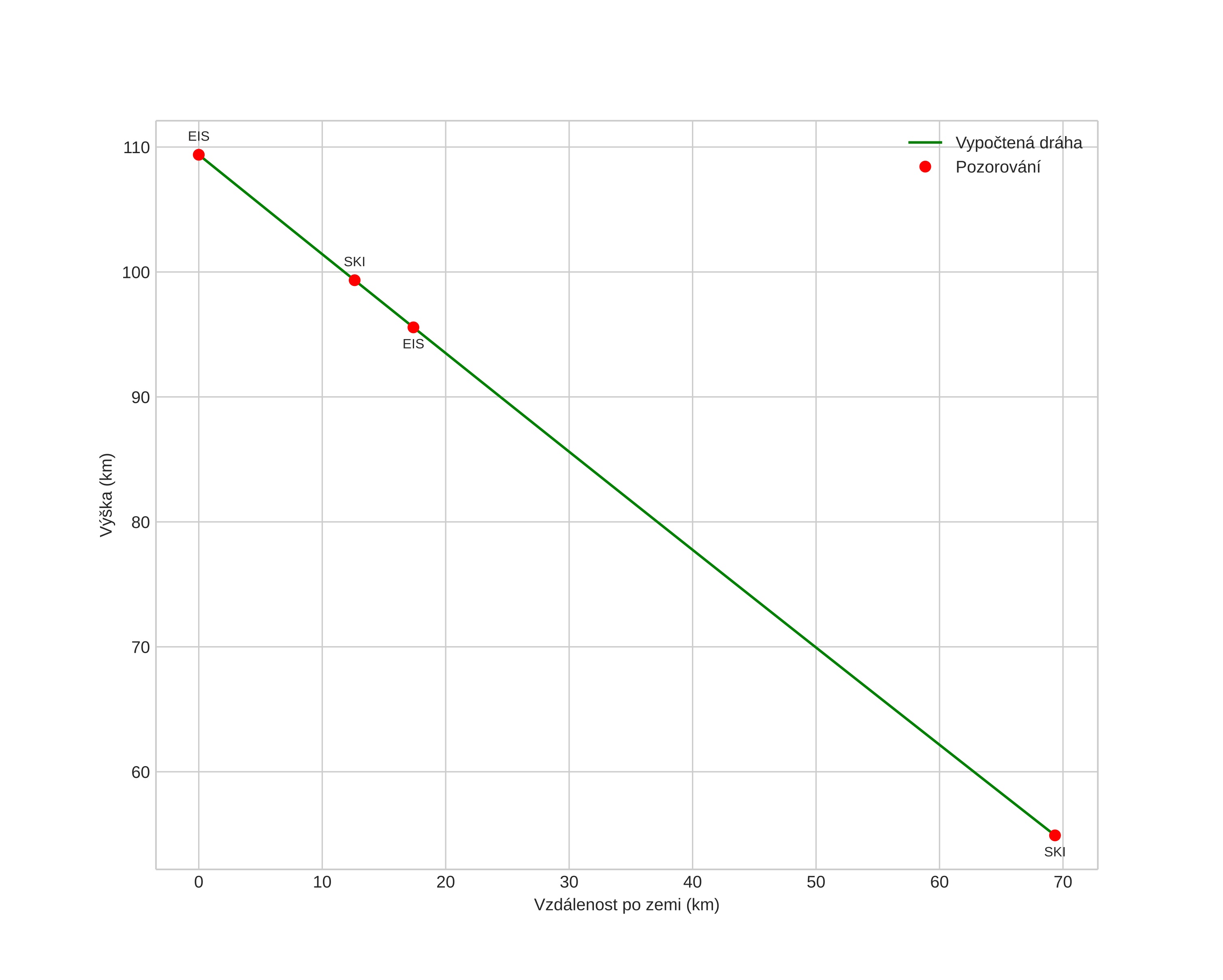
height profile
Atmosférická dráha meteoru:
Počáteční výška: 109,4 km
Konečná výška: 54,9 km
Počáteční poloha: 70,400N 19,406E
Konečná poloha: 71,023N 19,528E
Směr: 3,6°
Sklon: 38,2°
VstupnĂ­ rychlost: 30,1 km/s
Rektascenze radiantu: 03:45 (56,3°)
Deklinace radiantu: 16,5°
MeteorickĂ˝ roj: JiĹľnĂ­ Tauridy
Elementy dráhy meteoroidu:
Vzdálenost v periheliu: 0,389 AU
Excentricita: 0,842
Sklon dráhy: 3,6°
Délka vzestupného uzlu: 48,3°
Argument perihelia: 109,1°
Střední anomálie: 349,3°
Epocha: 2022 NOV 10 23:22:17
orbit plot

NeinteraktivnĂ­ graf

position vs time
speed and acceleration