🇳🇴 🇬🇧 🇩🇪 🇨🇿 🇫🇮

Meteor Hansnesin yllä 2022-11-10 23:22:17 UTC

KML-tiedosto  |  Interaktiivinen kartta

Kartta näyttää meteorin suuntahavainnot. Vaaleammat viivat näyttävät suunnat havaintoasemilta meteorin ilmestyessä, ja tummemmat viivat näyttävät, missä se viimeksi nähtiin. Sininen nuoli näyttää meteorin näkyvän lennon.

static map
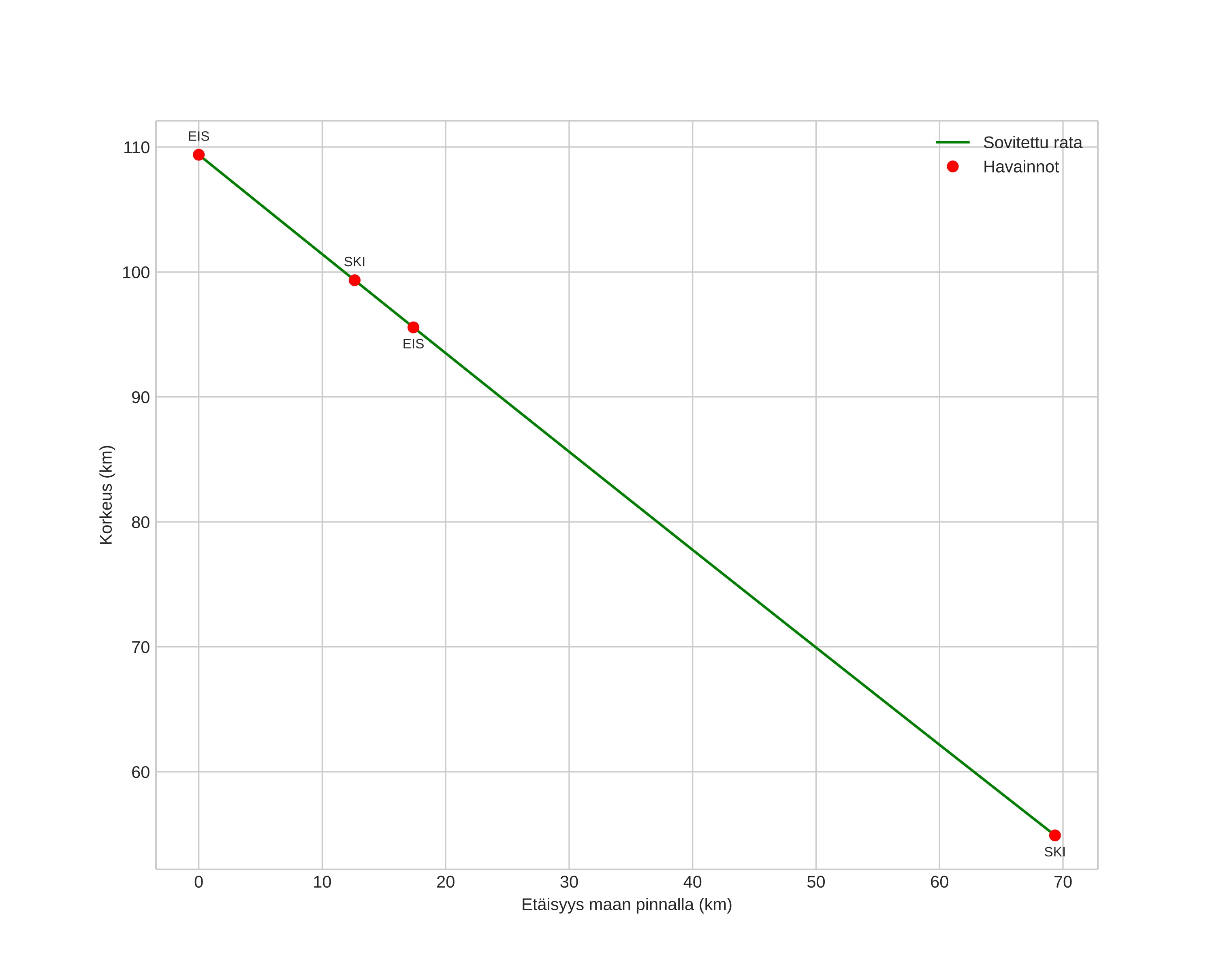
height profile
Meteorin ilmakehärata:
Alkukorkeus: 108,2 km
Loppukorkeus: 53,7 km
Alkupiste: 70,435N 19,414E
Loppupiste: 70,992N 19,540E
Suunta: 4,2°
Kallistuskulma: 41,2°
Tulonopeus: 29,3 km/s
Radiantin R,A,: 03:43 (55,9°)
Radiantin Dekl,: 19,6°
Meteoriparvi: Pohjoiset tauridit
Meteoroidin rataelementit:
Perihelietäisyys: 0,392 AU
Eksentrisyys: 0,819
Inklinaatio: 0,2°
Nousevan solmun pituus: 49,2°
Perihelin argumentti: 109,0°
Keskianomalia: 346,7°
Epookki: 2022 NOV 10 23:22:17
orbit plot

Ei-interaktiivinen kuvaaja | Interaktiivinen kuvaaja

position vs time
speed and acceleration