🇳🇴 🇬🇧 🇩🇪 🇨🇿 🇫🇮

Meteor, poloha: Stavern 2022-11-12 02:59:22 UTC

Soubor KML  |  InteraktivnĂ­ mapa

Mapa zobrazuje dráhy meteoru. Světlejší čáry ukazují směry od pozorovacích stanic při objevení se meteoru a tmavší čáry, kde byl naposledy viděn. Modrá šipka značí viditelnou dráhu meteoru.

static map
height profile
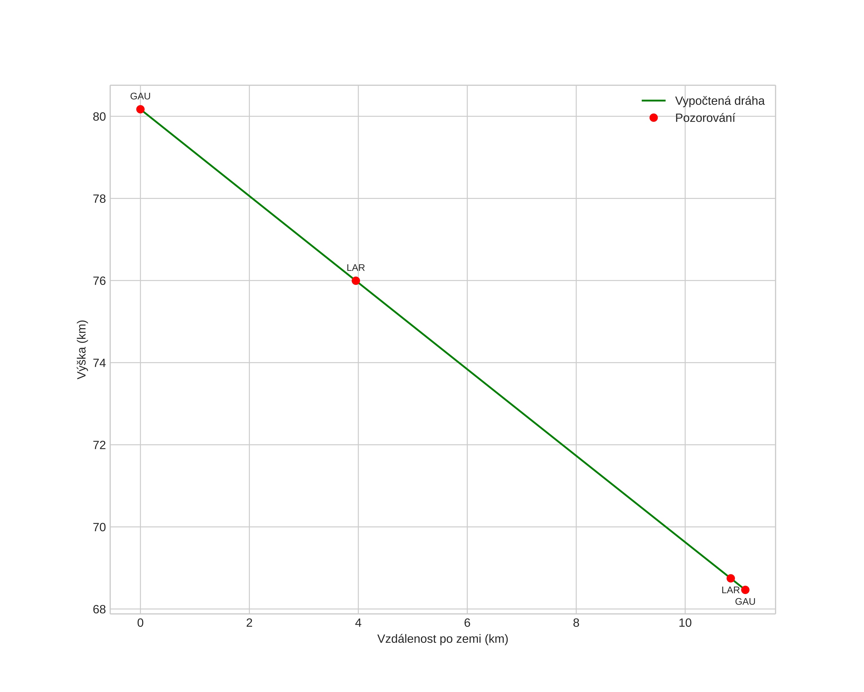
Atmosférická dráha meteoru:
Počáteční výška: 81,0 km
Konečná výška: 68,2 km
Počáteční poloha: 58,667N 9,851E
Konečná poloha: 58,668N 10,061E
Směr: 89,5°
Sklon: 46,5°
VstupnĂ­ rychlost: 25,3 km/s
Rektascenze radiantu: 02:49 (42,3°)
Deklinace radiantu: 35,8°
MeteorickĂ˝ roj: sporadickĂ˝
Elementy dráhy meteoroidu:
Vzdálenost v periheliu: 0,585 AU
Excentricita: 0,753
Sklon dráhy: 13,9°
Délka vzestupného uzlu: 229,4°
Argument perihelia: 267,3°
Střední anomálie: 348,0°
Epocha: 2022 NOV 12 02:59:22
orbit plot

NeinteraktivnĂ­ graf | InteraktivnĂ­ graf

position vs time
speed and acceleration