🇳🇴 🇬🇧 🇩🇪 🇨🇿 🇫🇮

Meteor Stavernin yllä 2022-11-12 02:59:22 UTC

KML-tiedosto  |  Interaktiivinen kartta

Kartta näyttää meteorin suuntahavainnot. Vaaleammat viivat näyttävät suunnat havaintoasemilta meteorin ilmestyessä, ja tummemmat viivat näyttävät, missä se viimeksi nähtiin. Sininen nuoli näyttää meteorin näkyvän lennon.

static map
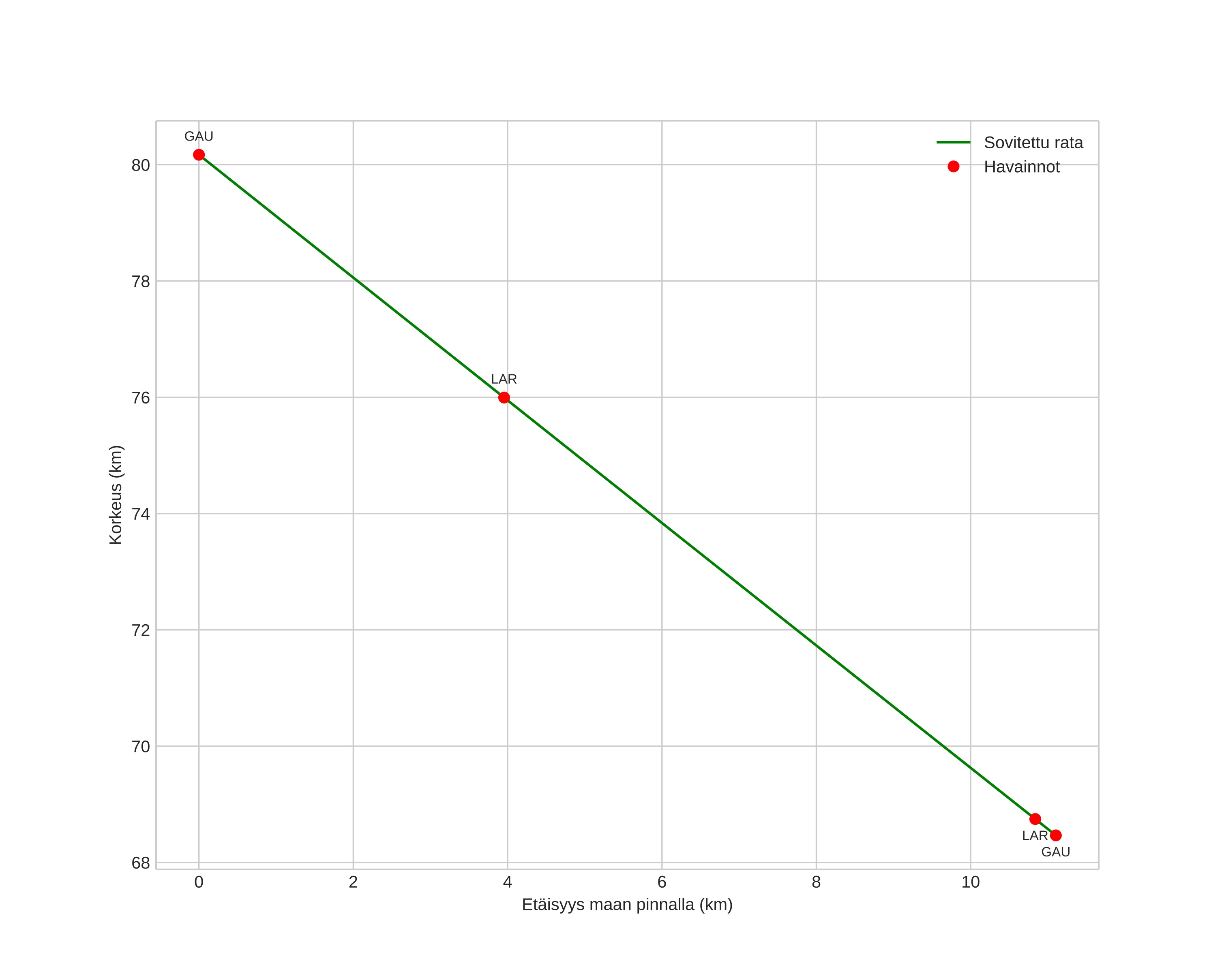
height profile
Meteorin ilmakehärata:
Alkukorkeus: 81,0 km
Loppukorkeus: 68,2 km
Alkupiste: 58,667N 9,851E
Loppupiste: 58,668N 10,061E
Suunta: 89,5°
Kallistuskulma: 46,5°
Tulonopeus: 25,3 km/s
Radiantin R,A,: 02:49 (42,3°)
Radiantin Dekl,: 35,8°
Meteoriparvi: Sporadinen
Meteoroidin rataelementit:
Perihelietäisyys: 0,585 AU
Eksentrisyys: 0,753
Inklinaatio: 13,9°
Nousevan solmun pituus: 229,4°
Perihelin argumentti: 267,3°
Keskianomalia: 348,0°
Epookki: 2022 NOV 12 02:59:22
orbit plot

Ei-interaktiivinen kuvaaja | Interaktiivinen kuvaaja

position vs time
speed and acceleration