🇳🇴 🇬🇧 🇩🇪 🇨🇿 🇫🇮

Meteor, poloha: Hansnes 2022-11-15 04:53:37 UTC

Soubor KML  |  InteraktivnĂ­ mapa

Mapa zobrazuje dráhy meteoru. Světlejší čáry ukazují směry od pozorovacích stanic při objevení se meteoru a tmavší čáry, kde byl naposledy viděn. Modrá šipka značí viditelnou dráhu meteoru.

static map
height profile
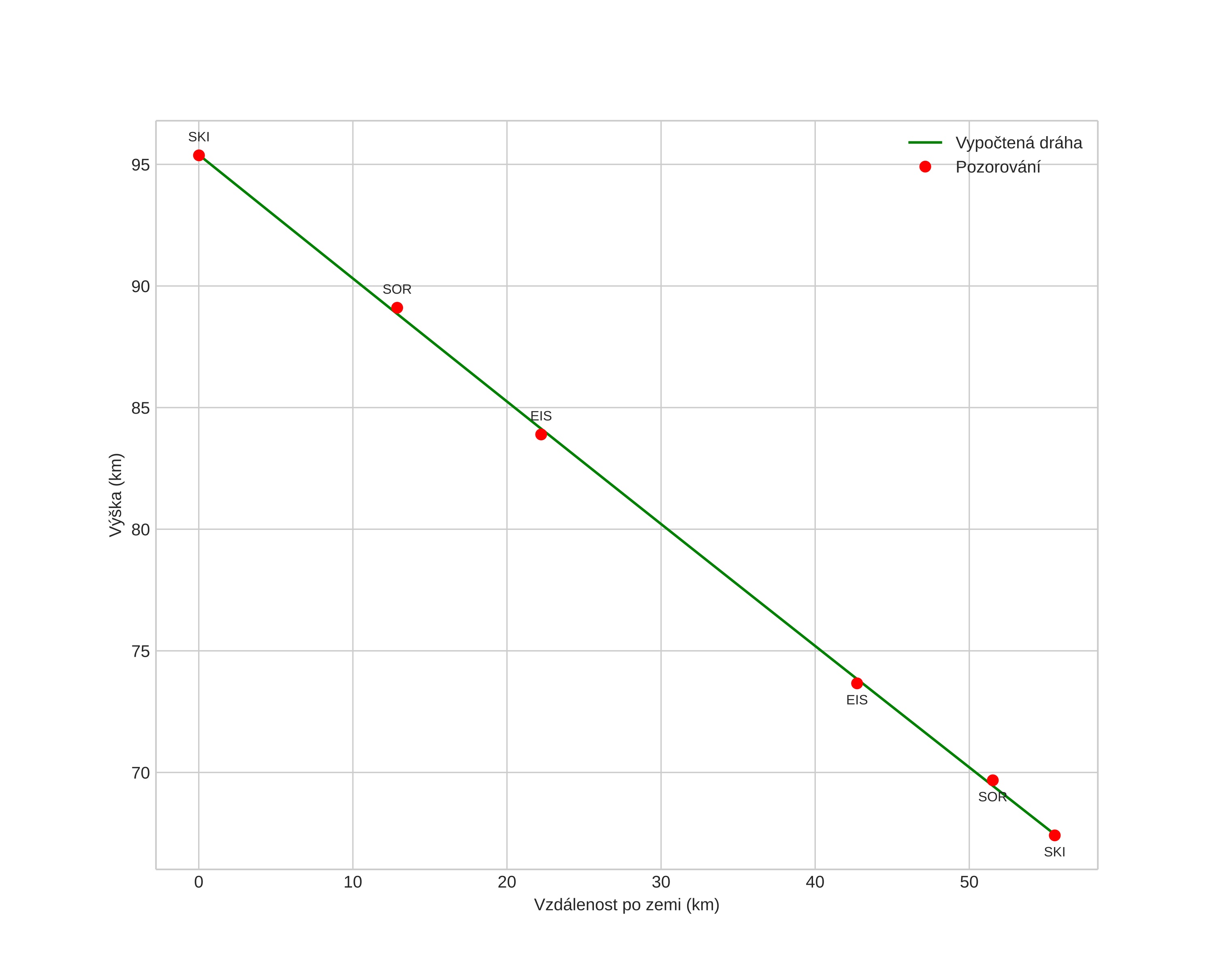
Atmosférická dráha meteoru:
Počáteční výška: 95,7 km
Konečná výška: 67,3 km
Počáteční poloha: 70,725N 17,598E
Konečná poloha: 70,678N 19,115E
Směr: 94,5°
Sklon: 26,9°
VstupnĂ­ rychlost: 29,1 km/s
Rektascenze radiantu: 03:56 (59,1°)
Deklinace radiantu: 24,0°
MeteorickĂ˝ roj: SevernĂ­ Tauridy
Elementy dráhy meteoroidu:
Vzdálenost v periheliu: 0,401 AU
Excentricita: 0,817
Sklon dráhy: 3,7°
Délka vzestupného uzlu: 232,4°
Argument perihelia: 288,8°
Střední anomálie: 346,9°
Epocha: 2022 NOV 15 04:53:37
orbit plot

NeinteraktivnĂ­ graf | InteraktivnĂ­ graf

position vs time
speed and acceleration