🇳🇴 🇬🇧 🇩🇪 🇨🇿 🇫🇮

Meteor Hansnesin yllä 2022-11-15 04:53:37 UTC

KML-tiedosto  |  Interaktiivinen kartta

Kartta näyttää meteorin suuntahavainnot. Vaaleammat viivat näyttävät suunnat havaintoasemilta meteorin ilmestyessä, ja tummemmat viivat näyttävät, missä se viimeksi nähtiin. Sininen nuoli näyttää meteorin näkyvän lennon.

static map
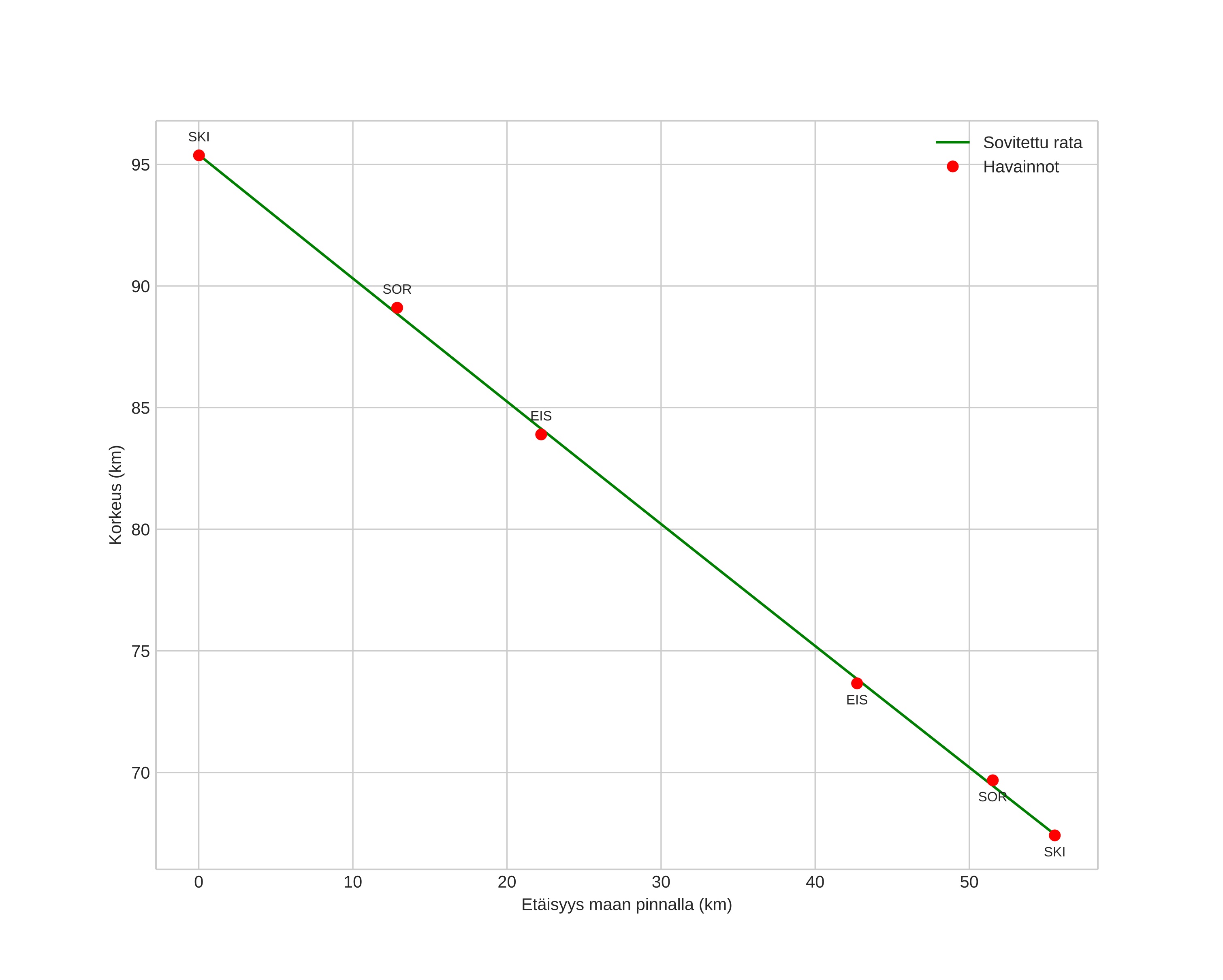
height profile
Meteorin ilmakehärata:
Alkukorkeus: 95,7 km
Loppukorkeus: 67,3 km
Alkupiste: 70,725N 17,598E
Loppupiste: 70,678N 19,115E
Suunta: 94,5°
Kallistuskulma: 26,9°
Tulonopeus: 29,1 km/s
Radiantin R,A,: 03:56 (59,1°)
Radiantin Dekl,: 24,0°
Meteoriparvi: Pohjoiset tauridit
Meteoroidin rataelementit:
Perihelietäisyys: 0,401 AU
Eksentrisyys: 0,817
Inklinaatio: 3,7°
Nousevan solmun pituus: 232,4°
Perihelin argumentti: 288,8°
Keskianomalia: 346,9°
Epookki: 2022 NOV 15 04:53:37
orbit plot

Ei-interaktiivinen kuvaaja | Interaktiivinen kuvaaja

position vs time
speed and acceleration