🇳🇴 🇬🇧 🇩🇪 🇨🇿 🇫🇮

Meteor, poloha: Andenes 2022-11-15 17:04:17 UTC

Soubor KML  |  InteraktivnĂ­ mapa

Mapa zobrazuje dráhy meteoru. Světlejší čáry ukazují směry od pozorovacích stanic při objevení se meteoru a tmavší čáry, kde byl naposledy viděn. Modrá šipka značí viditelnou dráhu meteoru.

static map
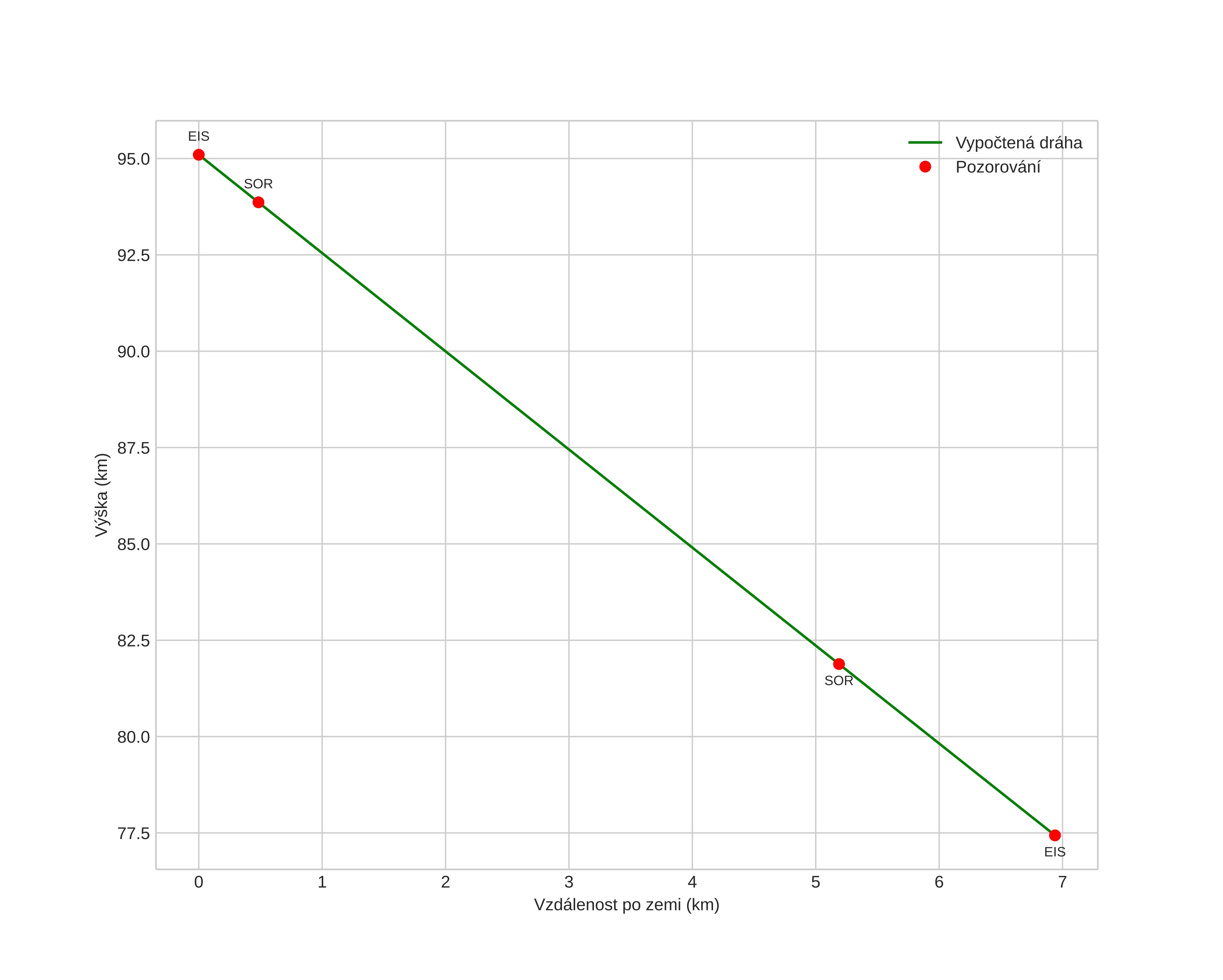
height profile
Atmosférická dráha meteoru:
Počáteční výška: 95,0 km
Konečná výška: 77,0 km
Počáteční poloha: 70,220N 15,994E
Konečná poloha: 70,237N 16,176E
Směr: 74,6°
Sklon: 68,5°
VstupnĂ­ rychlost: 21,0 km/s
Rektascenze radiantu: 18:52 (283,2°)
Deklinace radiantu: 55,6°
MeteorickĂ˝ roj: sporadickĂ˝
Elementy dráhy meteoroidu:
Vzdálenost v periheliu: 0,989 AU
Excentricita: 0,621
Sklon dráhy: 27,3°
Délka vzestupného uzlu: 233,0°
Argument perihelia: 177,0°
Střední anomálie: 0,6°
Epocha: 2022 NOV 15 17:04:17
orbit plot

NeinteraktivnĂ­ graf | InteraktivnĂ­ graf

position vs time
speed and acceleration