🇳🇴 🇬🇧 🇩🇪 🇨🇿 🇫🇮

Meteor Andenesin yllä 2022-11-15 17:04:17 UTC

KML-tiedosto  |  Interaktiivinen kartta

Kartta näyttää meteorin suuntahavainnot. Vaaleammat viivat näyttävät suunnat havaintoasemilta meteorin ilmestyessä, ja tummemmat viivat näyttävät, missä se viimeksi nähtiin. Sininen nuoli näyttää meteorin näkyvän lennon.

static map
height profile
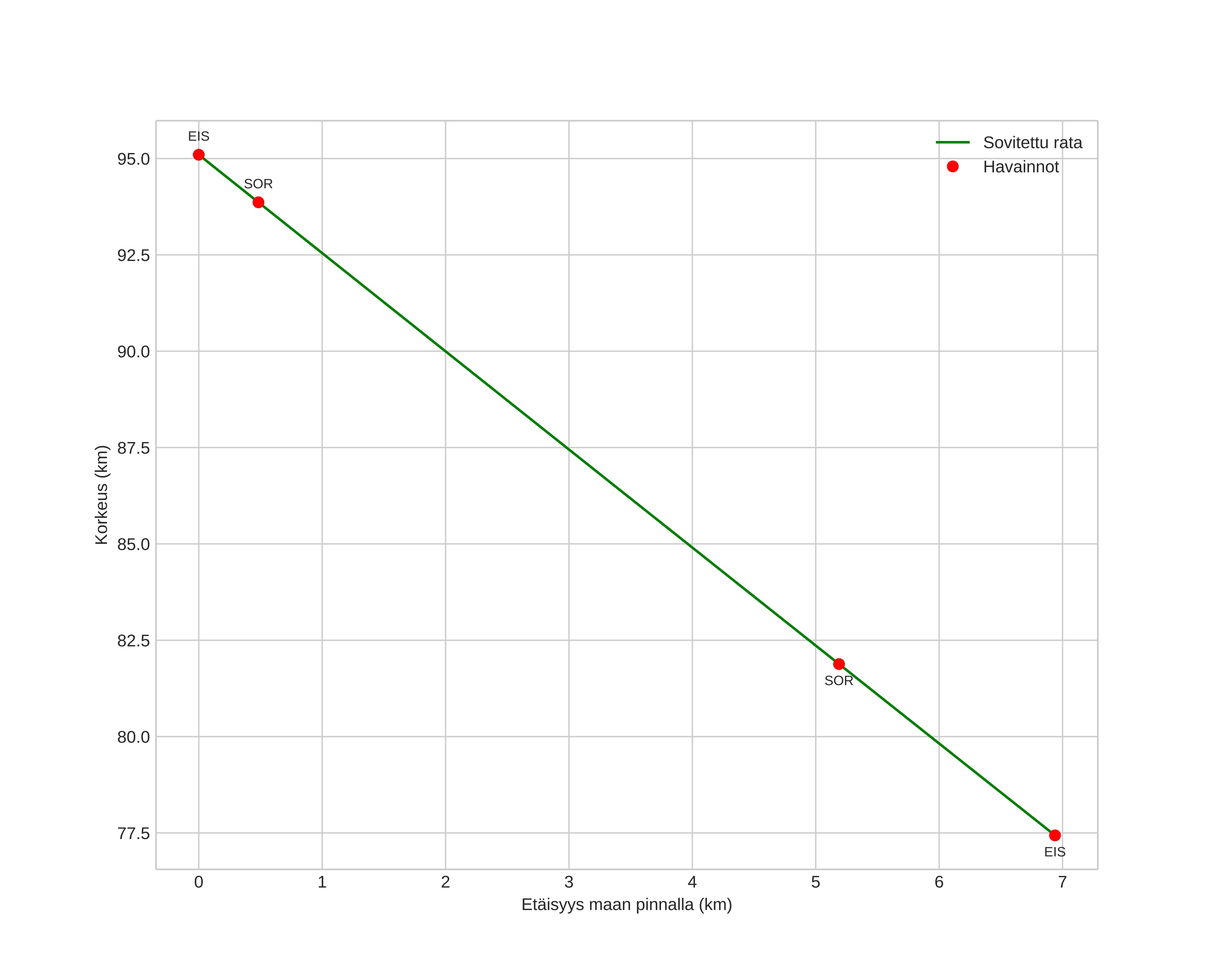
Meteorin ilmakehärata:
Alkukorkeus: 95,0 km
Loppukorkeus: 77,0 km
Alkupiste: 70,220N 15,994E
Loppupiste: 70,237N 16,176E
Suunta: 74,6°
Kallistuskulma: 68,5°
Tulonopeus: 21,0 km/s
Radiantin R,A,: 18:52 (283,2°)
Radiantin Dekl,: 55,6°
Meteoriparvi: Sporadinen
Meteoroidin rataelementit:
Perihelietäisyys: 0,989 AU
Eksentrisyys: 0,621
Inklinaatio: 27,3°
Nousevan solmun pituus: 233,0°
Perihelin argumentti: 177,0°
Keskianomalia: 0,6°
Epookki: 2022 NOV 15 17:04:17
orbit plot

Ei-interaktiivinen kuvaaja | Interaktiivinen kuvaaja

position vs time
speed and acceleration