🇳🇴 🇬🇧 🇩🇪 🇨🇿 🇫🇮

Meteor, poloha: Charyshskoye 2022-11-15 20:51:49 UTC

Soubor KML  |  InteraktivnĂ­ mapa

Mapa zobrazuje dráhy meteoru. Světlejší čáry ukazují směry od pozorovacích stanic při objevení se meteoru a tmavší čáry, kde byl naposledy viděn. Modrá šipka značí viditelnou dráhu meteoru.

static map
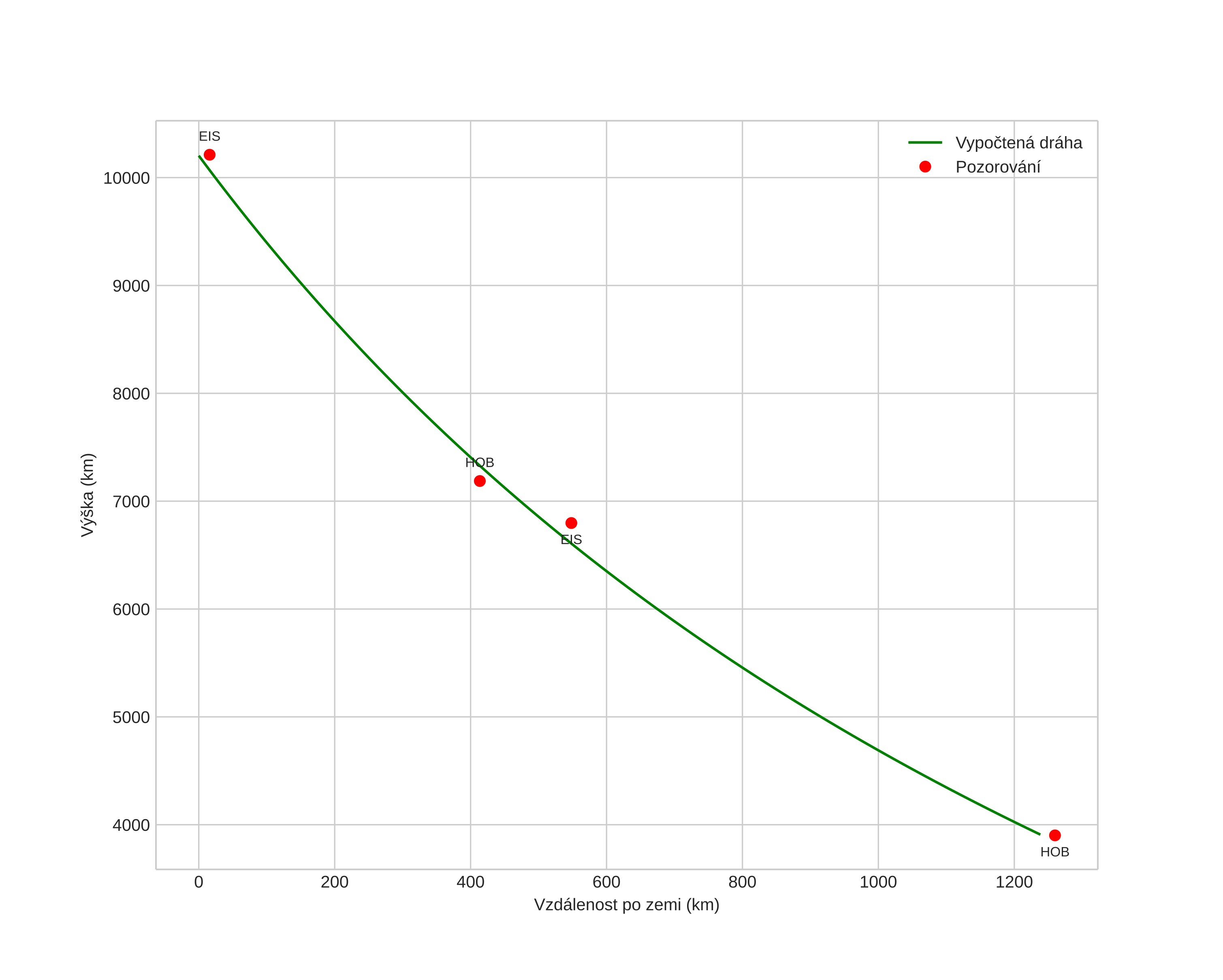
height profile
Atmosférická dráha meteoru:
Počáteční výška: 10073,2 km
Konečná výška: 3935,7 km
Počáteční poloha: 43,422N 93,876E
Konečná poloha: 51,709N 83,519E
Směr: 323,6°
Sklon: 78,9°
VstupnĂ­ rychlost: 7080,8 km/s
Rektascenze radiantu: 07:16 (109,2°)
Deklinace radiantu: 34,2°
MeteorickĂ˝ roj: sporadickĂ˝
Elementy dráhy meteoroidu:
Vzdálenost v periheliu: 0,798 AU
Excentricita: 44792,207
Sklon dráhy: 165,3°
Délka vzestupného uzlu: 233,2°
Argument perihelia: 216,2°
Střední anomálie: -1880603,8°
Epocha: 2022 NOV 15 20:51:49
orbit plot

NeinteraktivnĂ­ graf | InteraktivnĂ­ graf

position vs time
speed and acceleration