🇳🇴 🇬🇧 🇩🇪 🇨🇿 🇫🇮

Meteor Charyshskoyen yllä 2022-11-15 20:51:49 UTC

KML-tiedosto  |  Interaktiivinen kartta

Kartta näyttää meteorin suuntahavainnot. Vaaleammat viivat näyttävät suunnat havaintoasemilta meteorin ilmestyessä, ja tummemmat viivat näyttävät, missä se viimeksi nähtiin. Sininen nuoli näyttää meteorin näkyvän lennon.

static map
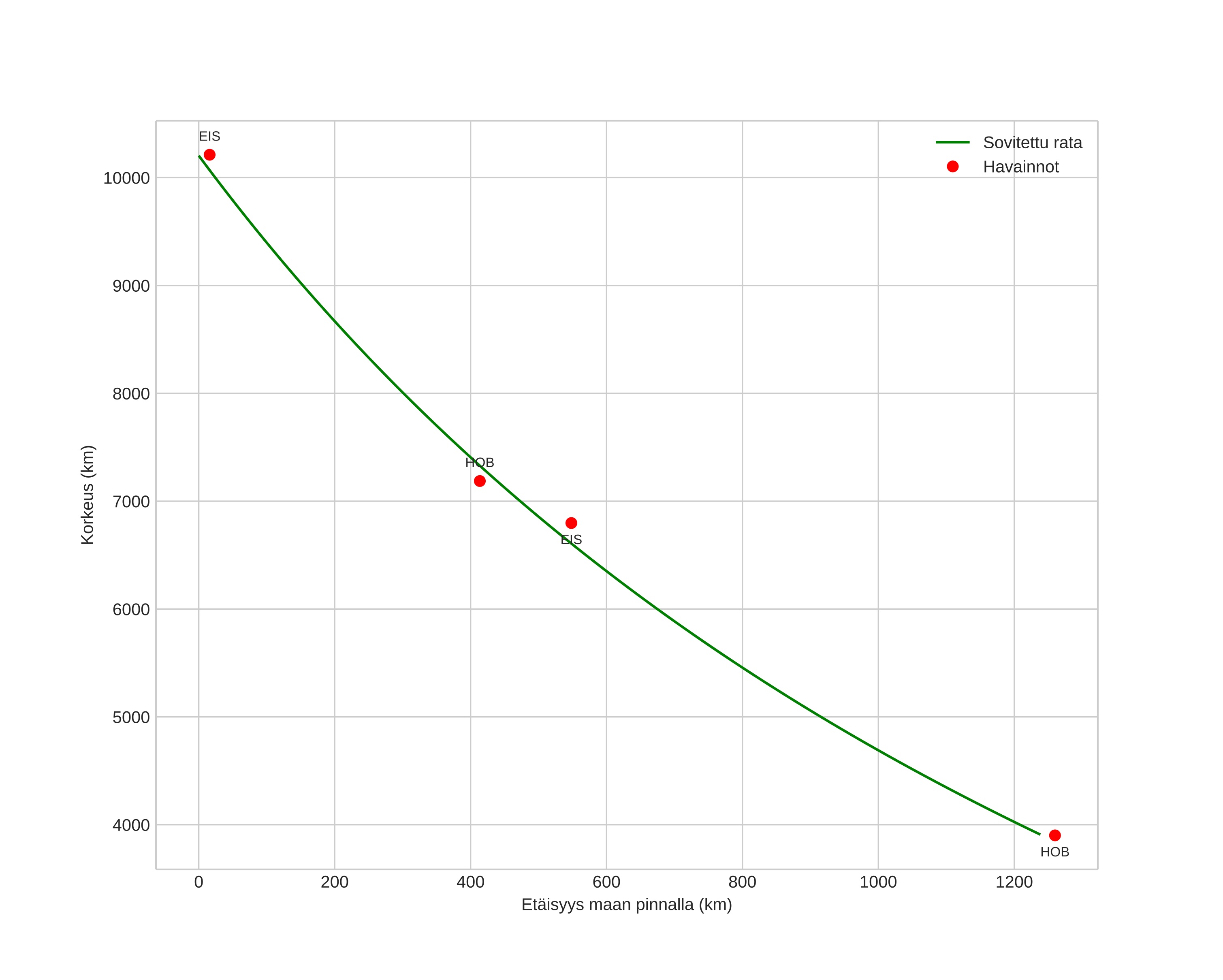
height profile
Meteorin ilmakehärata:
Alkukorkeus: 10073,2 km
Loppukorkeus: 3935,7 km
Alkupiste: 43,422N 93,876E
Loppupiste: 51,709N 83,519E
Suunta: 323,6°
Kallistuskulma: 78,9°
Tulonopeus: 7080,8 km/s
Radiantin R,A,: 07:16 (109,2°)
Radiantin Dekl,: 34,2°
Meteoriparvi: Sporadinen
Meteoroidin rataelementit:
Perihelietäisyys: 0,798 AU
Eksentrisyys: 44792,207
Inklinaatio: 165,3°
Nousevan solmun pituus: 233,2°
Perihelin argumentti: 216,2°
Keskianomalia: -1880603,8°
Epookki: 2022 NOV 15 20:51:49
orbit plot

Ei-interaktiivinen kuvaaja | Interaktiivinen kuvaaja

position vs time
speed and acceleration