🇳🇴 🇬🇧 🇩🇪 🇨🇿 🇫🇮

Meteor, poloha: Alta 2022-11-15 22:25:23 UTC

Soubor KML  |  InteraktivnĂ­ mapa

Mapa zobrazuje dráhy meteoru. Světlejší čáry ukazují směry od pozorovacích stanic při objevení se meteoru a tmavší čáry, kde byl naposledy viděn. Modrá šipka značí viditelnou dráhu meteoru.

static map
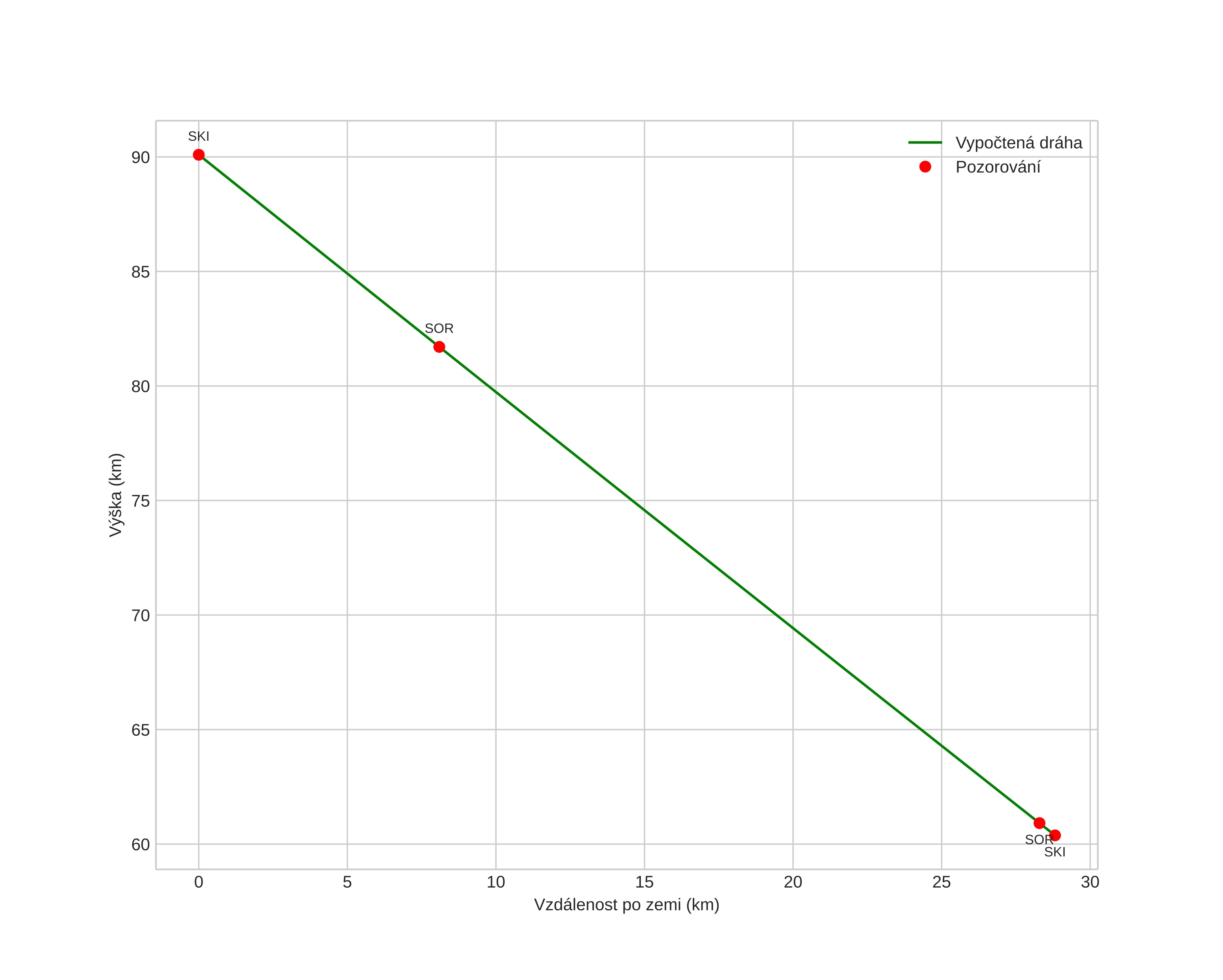
height profile
Atmosférická dráha meteoru:
Počáteční výška: 94,8 km
Konečná výška: 63,3 km
Počáteční poloha: 69,381N 23,461E
Konečná poloha: 69,653N 23,336E
Směr: 350,9°
Sklon: 45,8°
VstupnĂ­ rychlost: 30,2 km/s
Rektascenze radiantu: 04:04 (61,1°)
Deklinace radiantu: 23,6°
MeteorickĂ˝ roj: SevernĂ­ Tauridy
Elementy dráhy meteoroidu:
Vzdálenost v periheliu: 0,376 AU
Excentricita: 0,837
Sklon dráhy: 3,1°
Délka vzestupného uzlu: 233,2°
Argument perihelia: 291,1°
Střední anomálie: 348,1°
Epocha: 2022 NOV 15 22:25:23
orbit plot

NeinteraktivnĂ­ graf | InteraktivnĂ­ graf

position vs time
speed and acceleration