🇳🇴 🇬🇧 🇩🇪 🇨🇿 🇫🇮

Meteor Altan yllä 2022-11-15 22:25:23 UTC

KML-tiedosto  |  Interaktiivinen kartta

Kartta näyttää meteorin suuntahavainnot. Vaaleammat viivat näyttävät suunnat havaintoasemilta meteorin ilmestyessä, ja tummemmat viivat näyttävät, missä se viimeksi nähtiin. Sininen nuoli näyttää meteorin näkyvän lennon.

static map
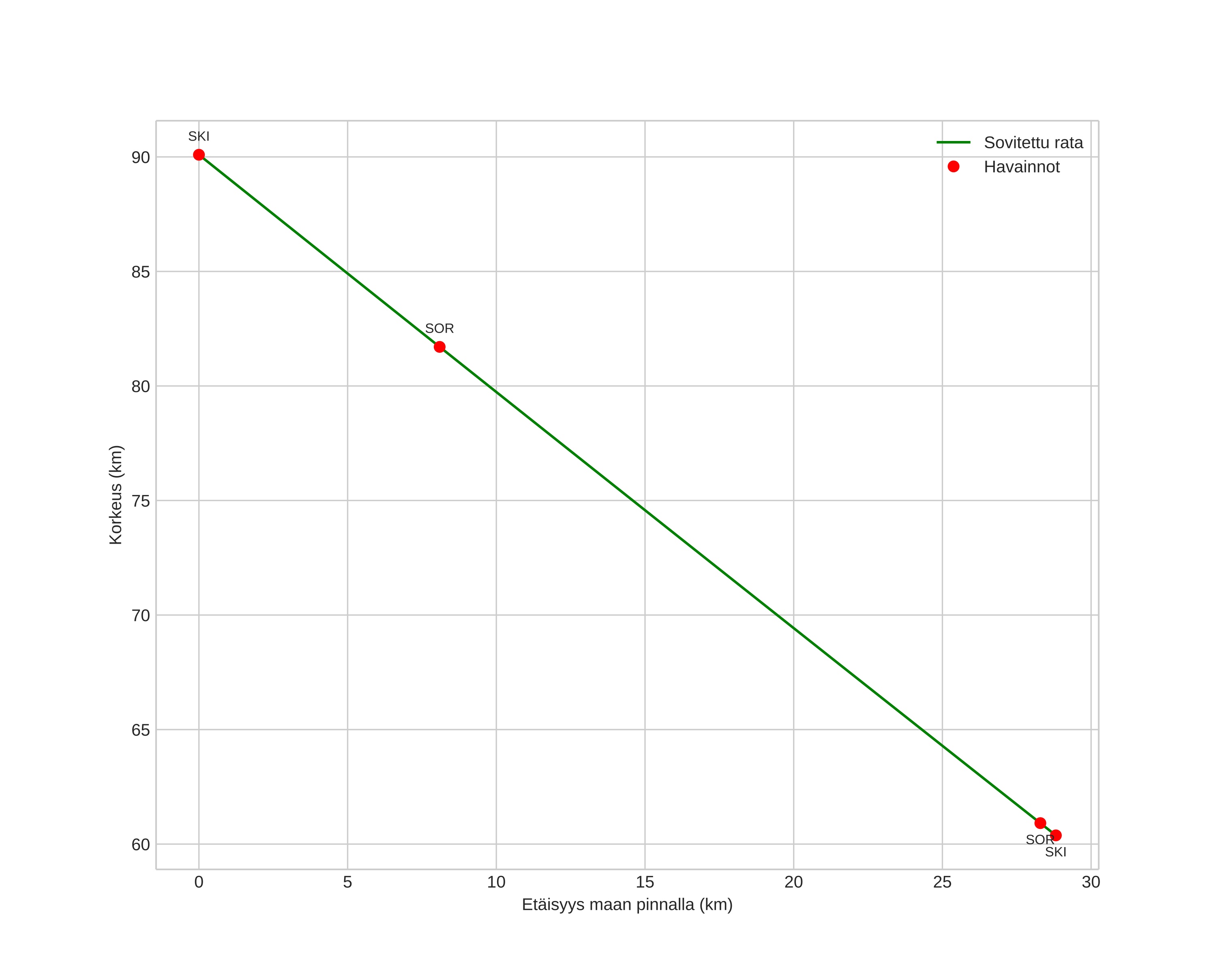
height profile
Meteorin ilmakehärata:
Alkukorkeus: 94,8 km
Loppukorkeus: 63,3 km
Alkupiste: 69,381N 23,461E
Loppupiste: 69,653N 23,336E
Suunta: 350,9°
Kallistuskulma: 45,8°
Tulonopeus: 30,2 km/s
Radiantin R,A,: 04:04 (61,1°)
Radiantin Dekl,: 23,6°
Meteoriparvi: Pohjoiset tauridit
Meteoroidin rataelementit:
Perihelietäisyys: 0,376 AU
Eksentrisyys: 0,837
Inklinaatio: 3,1°
Nousevan solmun pituus: 233,2°
Perihelin argumentti: 291,1°
Keskianomalia: 348,1°
Epookki: 2022 NOV 15 22:25:23
orbit plot

Ei-interaktiivinen kuvaaja | Interaktiivinen kuvaaja

position vs time
speed and acceleration