🇳🇴 🇬🇧 🇩🇪 🇨🇿 🇫🇮

Meteor, poloha: Setermoen 2022-11-15 23:30:57 UTC

Soubor KML  |  InteraktivnĂ­ mapa

Mapa zobrazuje dráhy meteoru. Světlejší čáry ukazují směry od pozorovacích stanic při objevení se meteoru a tmavší čáry, kde byl naposledy viděn. Modrá šipka značí viditelnou dráhu meteoru.

static map
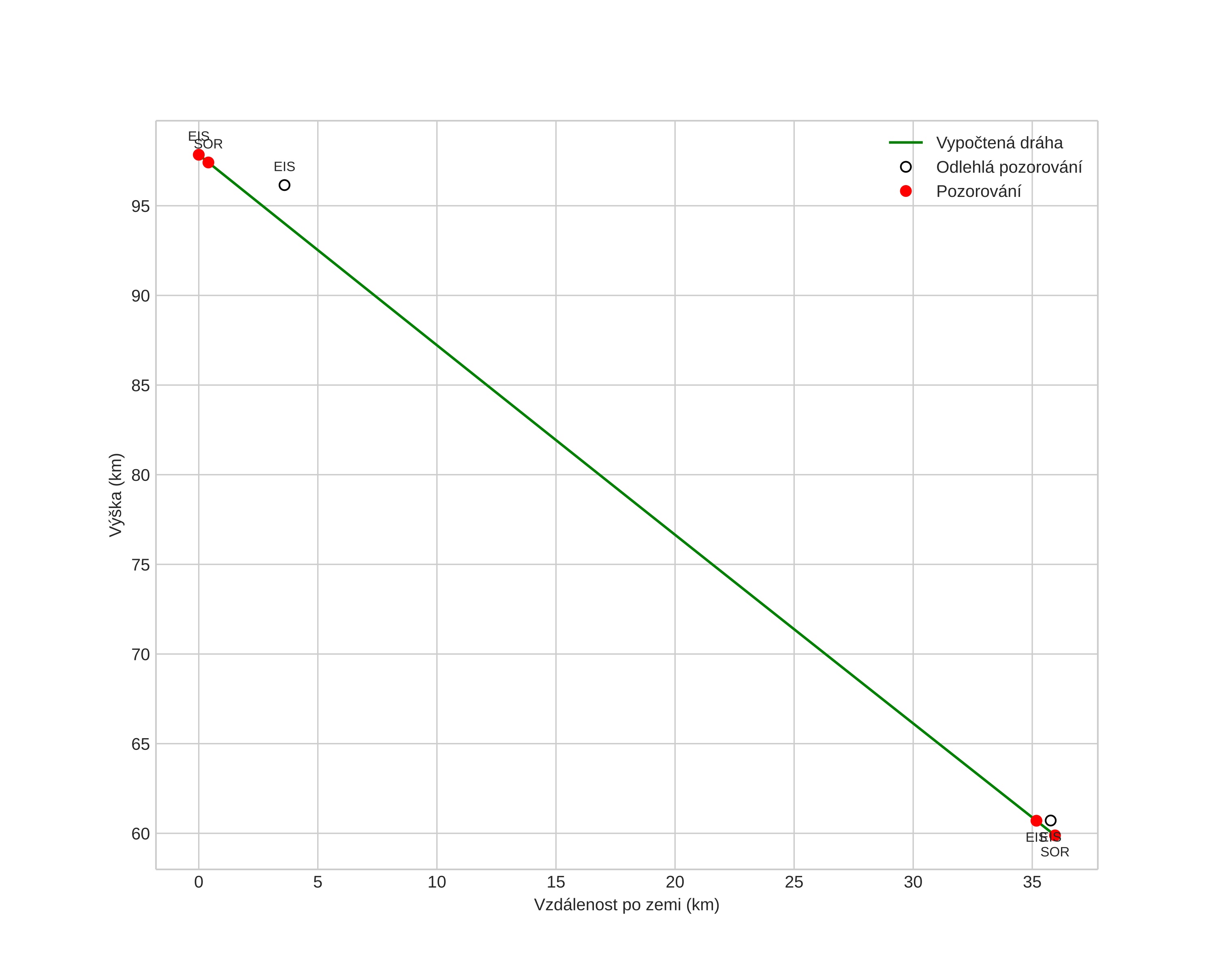
height profile
Atmosférická dráha meteoru:
Počáteční výška: 91,6 km
Konečná výška: 58,6 km
Počáteční poloha: 67,525N 18,350E
Konečná poloha: 67,771N 18,410E
Směr: 5,3°
Sklon: 50,2°
VstupnĂ­ rychlost: 27,2 km/s
Rektascenze radiantu: 04:05 (61,3°)
Deklinace radiantu: 25,7°
MeteorickĂ˝ roj: SevernĂ­ Tauridy
Elementy dráhy meteoroidu:
Vzdálenost v periheliu: 0,407 AU
Excentricita: 0,754
Sklon dráhy: 4,7°
Délka vzestupného uzlu: 233,2°
Argument perihelia: 291,7°
Střední anomálie: 338,7°
Epocha: 2022 NOV 15 23:30:57
orbit plot

NeinteraktivnĂ­ graf | InteraktivnĂ­ graf

position vs time
speed and acceleration