🇳🇴 🇬🇧 🇩🇪 🇨🇿 🇫🇮

Meteor Setermoenin yllä 2022-11-15 23:30:57 UTC

KML-tiedosto  |  Interaktiivinen kartta

Kartta näyttää meteorin suuntahavainnot. Vaaleammat viivat näyttävät suunnat havaintoasemilta meteorin ilmestyessä, ja tummemmat viivat näyttävät, missä se viimeksi nähtiin. Sininen nuoli näyttää meteorin näkyvän lennon.

static map
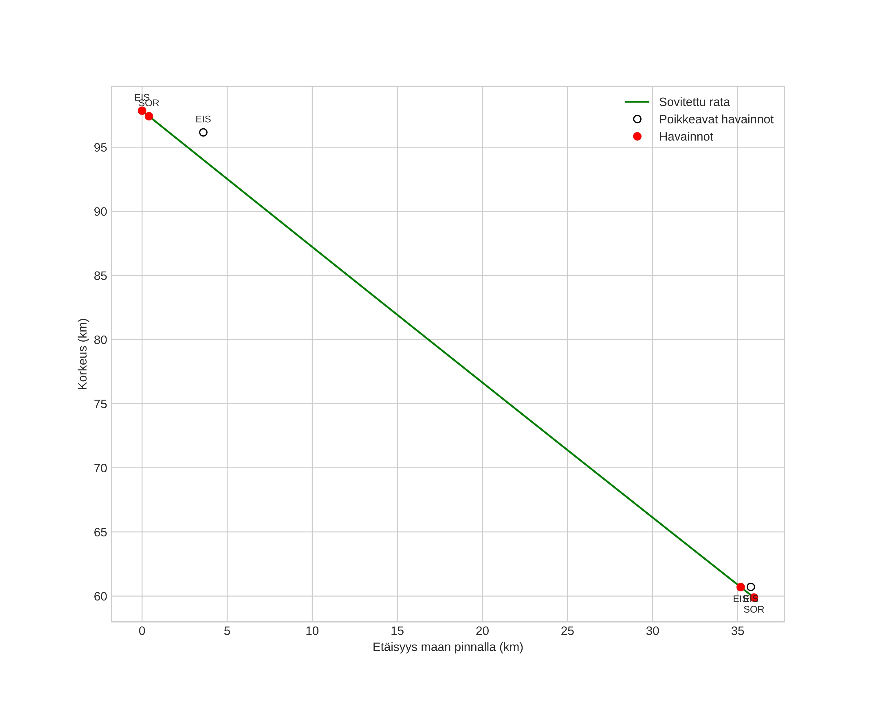
height profile
Meteorin ilmakehärata:
Alkukorkeus: 91,6 km
Loppukorkeus: 58,6 km
Alkupiste: 67,525N 18,350E
Loppupiste: 67,771N 18,410E
Suunta: 5,3°
Kallistuskulma: 50,2°
Tulonopeus: 27,2 km/s
Radiantin R,A,: 04:05 (61,3°)
Radiantin Dekl,: 25,7°
Meteoriparvi: Pohjoiset tauridit
Meteoroidin rataelementit:
Perihelietäisyys: 0,407 AU
Eksentrisyys: 0,754
Inklinaatio: 4,7°
Nousevan solmun pituus: 233,2°
Perihelin argumentti: 291,7°
Keskianomalia: 338,7°
Epookki: 2022 NOV 15 23:30:57
orbit plot

Ei-interaktiivinen kuvaaja | Interaktiivinen kuvaaja

position vs time
speed and acceleration