🇳🇴 🇬🇧 🇩🇪 🇨🇿 🇫🇮

Meteor, poloha: Olderdalen 2022-11-16 00:35:58 UTC

Soubor KML  |  InteraktivnĂ­ mapa

Mapa zobrazuje dráhy meteoru. Světlejší čáry ukazují směry od pozorovacích stanic při objevení se meteoru a tmavší čáry, kde byl naposledy viděn. Modrá šipka značí viditelnou dráhu meteoru.

static map
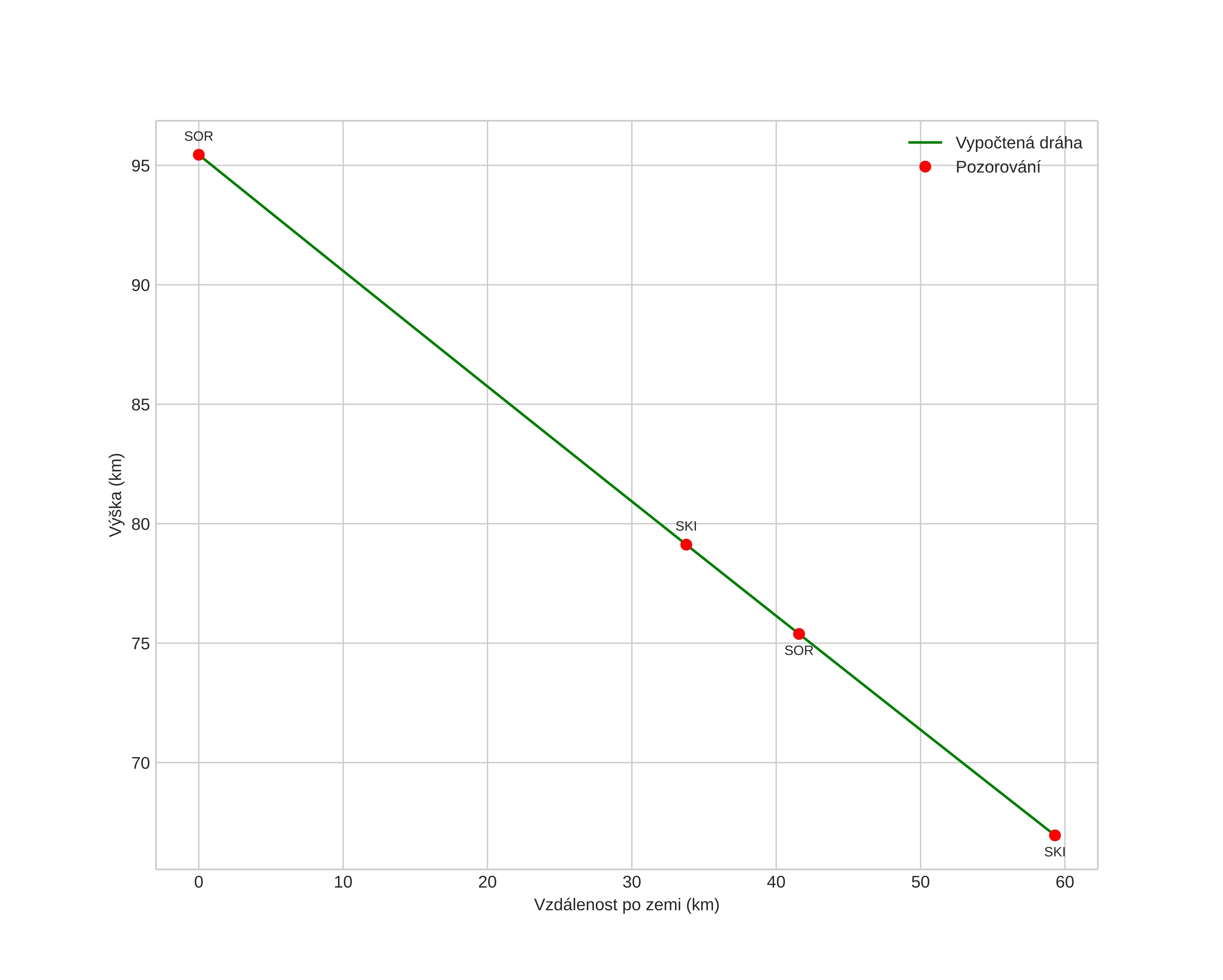
height profile
Atmosférická dráha meteoru:
Počáteční výška: 94,9 km
Konečná výška: 68,3 km
Počáteční poloha: 68,741N 20,307E
Konečná poloha: 69,212N 20,892E
Směr: 23,7°
Sklon: 24,9°
VstupnĂ­ rychlost: 31,4 km/s
Rektascenze radiantu: 04:07 (61,9°)
Deklinace radiantu: 2,7°
MeteorickĂ˝ roj: sporadickĂ˝
Elementy dráhy meteoroidu:
Vzdálenost v periheliu: 0,462 AU
Excentricita: 0,893
Sklon dráhy: 18,7°
Délka vzestupného uzlu: 53,3°
Argument perihelia: 97,5°
Střední anomálie: 355,5°
Epocha: 2022 NOV 16 00:35:58
orbit plot

NeinteraktivnĂ­ graf | InteraktivnĂ­ graf

position vs time
speed and acceleration