🇳🇴 🇬🇧 🇩🇪 🇨🇿 🇫🇮

Meteor Olderdalenin yllä 2022-11-16 00:35:58 UTC

KML-tiedosto  |  Interaktiivinen kartta

Kartta näyttää meteorin suuntahavainnot. Vaaleammat viivat näyttävät suunnat havaintoasemilta meteorin ilmestyessä, ja tummemmat viivat näyttävät, missä se viimeksi nähtiin. Sininen nuoli näyttää meteorin näkyvän lennon.

static map
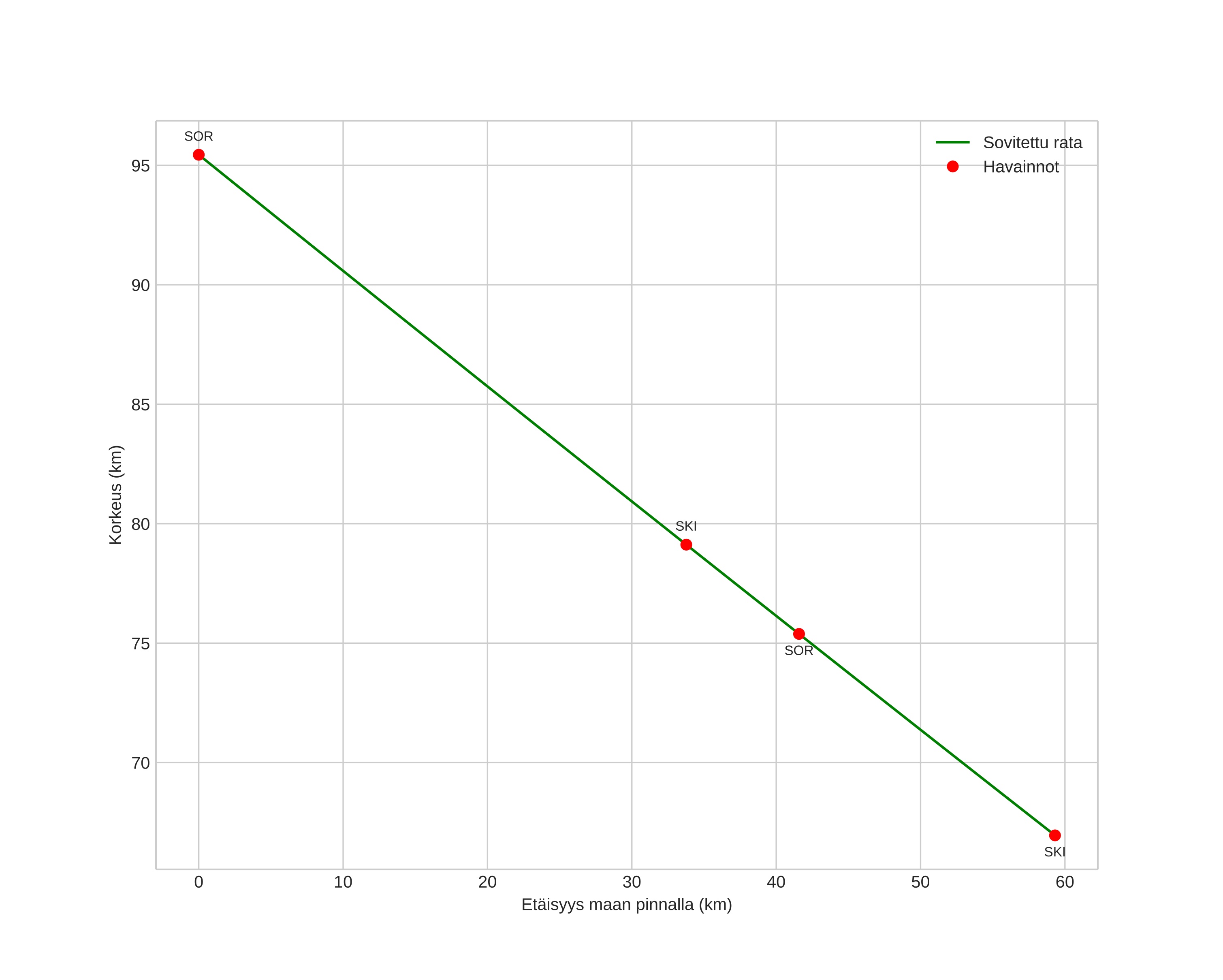
height profile
Meteorin ilmakehärata:
Alkukorkeus: 94,9 km
Loppukorkeus: 68,3 km
Alkupiste: 68,741N 20,307E
Loppupiste: 69,212N 20,892E
Suunta: 23,7°
Kallistuskulma: 24,9°
Tulonopeus: 31,4 km/s
Radiantin R,A,: 04:07 (61,9°)
Radiantin Dekl,: 2,7°
Meteoriparvi: Sporadinen
Meteoroidin rataelementit:
Perihelietäisyys: 0,462 AU
Eksentrisyys: 0,893
Inklinaatio: 18,7°
Nousevan solmun pituus: 53,3°
Perihelin argumentti: 97,5°
Keskianomalia: 355,5°
Epookki: 2022 NOV 16 00:35:58
orbit plot

Ei-interaktiivinen kuvaaja | Interaktiivinen kuvaaja

position vs time
speed and acceleration